摘要:歷年真題在復習中的參考價值不言而喻,小編為您提供2017年造價工程師《造價管理》真題及答案(完整版),希望能對各位考生有所幫助!
一、單項選擇題(共60小題,每題1分,每題的備選項中,只有1個最符合題意。)
1.建設項目的造價是指項目總投資中的()。P3
A.固定資產與流動資產投資之和
B.建筑安裝工程投資
C.建筑安裝工程費與設備費之和
D.固定資產投資總額
答案:D
解析:考查工程造價的含義及相關概念,常規知識點。從投資者的角度,工程造價即為固定資產投資。
2.政府部門,行業協會,建設單位、施工單位及咨詢機構通過協調工作,共同完成工程造價控制任務,屬于建設工程全面造價管理中的()P4
A.全過程造價管理
B.全方位造價管理
C.全壽命期造價管理
D.全要素造價管理
答案:B
解析:考查建設工程全面造價管理的概念,常規知識點。
3.根據《注冊造價師管理辦法》,以欺騙收段取得造價工程師注冊被撤銷的,()年內不得再次申請注冊。P12
A.1
B.2
C.3
D.4
答案:C
解析:考查法律責任,常規知識點。隱瞞的1年內;欺騙的3年內。
4.根據《工程造價咨詢企業管理辦法》,工程造價咨詢企業應辦理而未及時辦理資質證書變更手續的,由資質許可機關責令限期辦理,逾期不辦理的,可處以()以下的罰款。P17
A.5000元
B.1萬元
C.2萬元
D.3萬元
答案:B
解析:考查法律責任中經營違規責任。
5.美國建造師學會(AIA)的合同條件體系分為A、B、C、D、E、F系列,用于財務管理表格的是()。P23
A.C系列
B.D系列
C.F系列
D.G系列
答案:C
解析:考查國際常見的合同文本:FIDIC、JCT、ACA、ICE、AIA等,常規知識點。
6.根據《建筑法》在建的建筑工程因故中止施工的,建設單位應當自中止施工起()個月內,向發證機關報告。P25
A.1
B.2
C.3
D.6
答案:A
解析:考查建筑工程施工許可,常規知識點。
7.根據《建設工程質量管理條例》,建設工程的保修期自()之日起計算。P31
A.工程交付使用
B.竣工審計通過
C.工程價款結清
D.竣工驗收合格
答案:D
解析:考查工程質量保修,常規知識點。保修期自竣工驗收合格之日起計算。
8.根據《招投標法》,對于依法必須進行招標的項目,自招標文件開始發出之日起至投標人提交投標文件截止之日止,最短不得少于()日。P37
A.10
B.20
C.30
D.60
答案:B
解析:考查招標標中的幾個時間期限,常規知識點。如發售到截止、修改與澄清、異議、投訴等時間期限。
9.根據《招標投標法實施條例》,招標文件中要求中標人提交履約保證金的,保證金不得超過中標合同金額的().P44
A.2%
B.5%
C.10%
D.20%
答案:D
解析:考查履約保證金,教材第一章和第六章均有改內容,常規考查。
10.根據《會同法》關于要約和承諾的說法,正確的是()P47
A.撤回要約的通知應當在要約到達受要約人之后到達受要約人
B.承諾的內容應當與要約的內容一致
C.要約邀請是合同成立的必經過程
D.撤回承諾的通知應當在要約確定的承諾期限內到達要約人
答案:B
解析:考查合同訂立的程序,近三年都出了題。合同訂立,需要兩個環節:要約和承諾。一要約一承諾合同就成立了。
11.根據《合同法》,執行改府定價或政府指導價的合同時,對于逾期交付標的物的處置方式是()。P52
A.遇價格上漲時,按原價格執行:價格下降時,按照新價格執行
B.遇價格上漲時,按照新價格執行:價格下降時,按照原價格執行
C.無論價格上漲或下降,均按新價格執行
D.無論價格上漲或下降,均按照原價格執行丁
答案:A
解析:考查合同履行的特殊規則,常規知識點,近兩年都考過。在計價教材,合同條款等都有類似內容。
12.根據《國務院關于投資體制改革的決定》,對于采用直接投資和資本金注入方式的改府投資項目,除特殊情況外,政府主管部門不再審批()。P64
A.項目建議書
B.項目初步設計
C.項目開工報告
D.項目可行性研究報告
答案:C
解析:考查項目投資決策管理制度,每年都考。
13.為了實現工程造價的模擬計算和動態控制,可應用建筑信建槙(BIM)技術,在包含進度數據的建筑模型上加載費用數據而形成()模型。P71
A.6D
B.5D
C.4D
D.3D
答案:B
解析:考查BIM的基本概念,這個應該是一個常識題,不看書也應該會,否則你怎么在行業混,你多么的孤陋寡聞。
14.建設工程采用平行承包模式的特點是()P78
A.有利于縮短建設工期
B.不利于控制工程質量
C.業主組織管理簡單
D.工程造價控制難度小
答案:A
解析:不同發包模式的特點,常規考查??偡职?平行的對比。我們學的每一個都有利于縮短工期。平行發包也有利于質量控制,但和總分包的原因是不一致的;總分包是增加了質量控制的環節,平行發包是由于“他控”。
15.直線職能制組織結構的特點是()。P82
A.信息傳遞路徑較短
B.容易形成多頭領導
C.各職能部門間橫向聯系強
D.各職能部門職責清楚
答案:D
解析:考查不同組織結構的特點,常規考查,15年剛剛考過。
16.下列計劃表中,屬于建設單位計劃體系中工程項目建設總進度計劃的是()p85
A.年度計劃項目表
B.年度建設資金平衡表
C.投資計劃年度分表
D.年度設備平衡表
答案:C
解析:考查建設單位的計劃體系,常規考查,一個是建設總進度計劃的表格,二個是工程項目年度計劃表格。
17.編制單位工程施工進度計劃時,確定工作項目持續時間需要考慮每班工人數量、限定每班工人數量上限的因素是()。P95
A.工作項目工程量
B.最小勞動組合
C.人工產量定額
D.最小工作面
答案:D
解析:考查施工組織設計內容,常規考查。工作面決定了人數上限,勞動組合決定了人數的下限。
18.應用直方圖法分析工程質量狀況時,直方圖出現折齒型分布的原因是()。P105
A.數據分組不當或組距確定不當
B.少量材料不合格
C.短時間內工人操作不熟練
D.數據分類不當
答案:A
解析:考查項目目標控制的方法,常規考查。無非就是考查各種方法的作用、質量控制方法動態的靜態的、兩個細節題(直方圖不正常的類型、控制圖不正常)。
19.下列流水施工參數中,屬于時間參數的是()
A.施工過程和流水步距
B.流水步距和流水節拍
C.施工段和流水強度
D.流水強度和工作面
答案:B
20.其工程有3個施工過程,分為4個施工段組織流水施工。流水節拍分別為2、3、4、3天:4、2、3、5天:3、2、2、4天。則流水施工工期為()P115
A.17
B.19
C.20
D.21
答案:D
解析:考查流水施工組織,最最基本的考查。非節奏流水施工工期的計算—大差法。
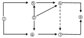
21.其工程雙代號網絡圖如下圖所示,存在的繪錯誤是()。

A.多個起點節點
B.多個終點節點
C.節點編號有誤
D.存在循環回路
答案:A
解析:考查雙代號網絡圖的繪制,常規知識點。有兩個起始節點。
22.工程網絡計劃中工作,D有兩項緊后工作,最早開始時同分別為17和20,工作D的最開始時間為12,持續時間為3,則工作D的自由時差為()P123
A.5
B.4
C.3
D.2
答案:D
解析:考查網絡計劃時間參數計算(概念),歷年最簡單的一次考題,何為自由時差——不影響緊后工作最早開始時間的機動時間。
23.工程網絡計劃資源優化的目的是通過改變(),使資源按照時間的分布符會優化目標。
A.工作間邏輯關系
B.工作的持續時間
C.工作的開始時間和完成時間
D.工作的資源強度
答案:C
解析:考查網絡計劃的優化,通常是考查概念。
24.在資金時間價值的作用下,下列現金流量圖(單位:萬元)中,有可能與現金流入現值1200萬元等值的是()

答案:D
解析:考查等值的概念,常規考查,16年剛剛考過一道類似的題。
25.其企業前3年每年初借款1000萬元,按年復利計息,年利率為8%,第5年末還款3000萬元,剩余本在第8年末全面還清,則第8年末需還本付息()萬元。P152、P156
A.981.49
B.990.89
C,1270.83
D.1372.49
答案:D
解析:考查現金流量圖的繪制與等值計算,常規知識點,除了15年沒考,其余每年都考了。首先要畫現金流量圖,然后再計算。

26.其項借款,名義利率10%,計息周期為月,則有效利率是()
A.8.33%
B.10.38%
C.10.47%
D.10.52%
答案:C
解析:考查名義利率與有效利率,每年一題,也是最簡單的一次考法。
(1+10%/12)12-1=10.47%
27.*利用投資回收期指標評價投資方經濟效果的不足是()。P173
A.不能全面反映資本的周轉速度
B.不能全面考慮投資方案整個計算期內的現金流量
C.不能反映投資回收之前的經濟效果
D.不能反映回收全部投資所需要的時間
答案:B
解析:考查投資回收期,常規考查。能考的無非就是計算和缺點,缺點就??嫉挠质菦]有考慮整個計算期,最最基本的考查了。
28.投資方案經濟效果評價指標中,利息備付率是指投資方案在借款償還期內的()的比值。
A.息稅前利潤與當期應付利息金額
B.息稅前利潤與當期應還本付息金額
C.稅前利潤與當期應付利息金額
D.稅前利潤與當期應還本付息金額
答案:A
解析:考查經濟評價指標-償債能力指標,常規考查,13/14年都曾經考過。
29.下列投資方安經濟效果評價指標中,能夠直接衡量項目未回收投資的收益率的指標是()。
A.投資收益率
B.凈現值率
C.投資回收期
D.內部收益率
答案:D
解析:考查經濟評價指標-內部收益率指標,常規考查,理解內部收益率的經濟含義,反應的是占用的尚未回收資金的獲利能力,看好教材上的例題4.2.1即可明白。
30.對于效益基本相同、但效益難以用貨幣直接計量的互斥投資方案,在進行比選時常用()替代凈現值。
A.增量投資
B.費用現值
C.年折算費用
D.凈現值率
答案:B
解析:考查互斥方案的評價方法-凈現值法(當只有現金流出的話,即費用現值法),常規考查。
31.關于投資方案不確定性分忻與風險分析的說法,正確的是()
A.敏感性分析只適用于財務評價
B.風險分析只適用于國民經濟評價
C.盈虧平衡分析只適用于財務評價
D.盈虧平衡分析只適用于國民經濟評價
答案:C
解析:考查不確定性分析和風險分析,常規考查。盈虧平衡分析只適用于財務評價,敏感性分析和風險分析可同時用于財務評價和國民經濟評價。
32.下列價值工程對象選擇方法中,以功能重要程度作為選擇標準的是()
A.因素分析法
B.強制確定法
C.重點選擇法
D.百分比分析法
答案:B
解析:考查價值工程對象選擇的方法,常規考查,12年考過同樣的一個題。
33.按照價值工程活動的工作程序,通過功能分析與整理明確必要功能后的下一步工作是()。
A.功能評價
B.功能定義
C.方案評價
D.方案創造
答案:A
解析:考查價值工程的工作程序,常規考查。首先要排除CD,都整理后的事了,肯定早就定義了。只能選A。
34.價值工程活動中,方案評價階段的工作順序是()
A.綜合評價一經濟評價和社會評價一技術評價
B.綜合評價一技術評價和經濟評價一社會評價
C.技術評價一經濟評價和社會評價一綜合評價
D.經濟評價一技術評價和社會評價一綜合評價
答案:C
解析:考查價值工程中方案創造與平均。先排除AB,不能上來就綜合。然后再想想評標怎么評來,不都是先技術后經濟嗎?!
35.工程壽命周期成本分析評價中,可用來估算費用的方法是()。
A.構成比率法
B.因素分析法
C.掙值分析法
D.參數估算法
答案:D
解析:考查壽命周期成本估算的方法,14年考過。今年出的比較簡單,記不住也可以用排除法,去掉ABC。
36.根據《國務院關于調整和完善固定資產項目資本金制度的通知》,對于保障性住房和普通商品住房項目,項目資本金占項目總投資的最低比例是()
A.20%
B.25%
C.30%
D.35%
答案:A
解析:考查項目資本金制度-資本金的比例,偶爾會考一次。
37.根據《外商投資產業指導目錄》,必須由中方控股的項目是()P222
A.綜合建筑項目
B.綜合水利樞紐項目
C.超大型公共建設項
D.農業深加工項目
答案:B
解析:考查項目資本金制度中的項目資本金的比例等規定,該內容不經??疾?,偶爾考。本題可以根據常識判斷,中國人說了算的項目,肯定是關系國計民生的項目。
38.與發行債券相比,而是發行優先股的特點是()P225
A.融資成本較高
E.股東擁有公司控制杈
C.股息不固定
D.股利可在稅前扣除
答案:A
解析:考查債券、優先股、普通股三種融資方式的共同點和不同點,經??迹?6年也考過。理解了就會,不理解白搭。
39.項目公司為了擴大項目規模往往需要追加籌集資金,用來比較選擇追加籌資方案的重要依據是()。P231
A.個別資金成本
B.綜合資金成本
C.組合資會成本
D.邊際資金成本
答案:D
解析:考查資金成本的作用,16年剛剛考過,理解的知識點。
40.其公司力新疆項目發行總面額為2000萬元的十年期債券票面利率為12%,發行費用率為6%,發行價格為2300萬元,公司所得稅為25%,則發行債券,而的成本率為()P234
A.7.83%
B.8.33%
C.9.57%
D.11.10%
答案:B
解析:考查資金成本的計算,就兩個最??嫉模簝炏裙珊蛡?。一定要理解,千萬不要記公式。
41.為新建項目籌集債務資金時,對利率結構起決定性作用的因素是()。P237
A.進入市場的利率走向
B.借款人對于融資風險的態度
C.項目現金流量的特征
D.資金籌集難易程度
答案:C
解析:考查資本結構-債務資金結構-利率結構;不經常考。說簡單一點就是收入的狀況對利率結構起決定性作用,如每年收入比較穩定,可以考慮采用固定利率。
42.下列項目融資工作中屬于融資決策分忻階段的是()P243
A.評價項目風險因素
B.進行項目可行性研究
C.分析項目融資結構
D.選擇項目融資方式
答案:D
解析:考查項目融資程序,常規知識點,近三年都出了題。
43.下列項目融資方式中,通過已建成項目為其他新項目進行融資的是()P245
A.TOT
B. BT
C.BOT
D.PFI
答案:A
解析:考查不同項目融資方式的概念、特點。本題考TOT的概念,是歷年最簡單的考查方式。
44.PFI融資方式與BOT融資方式的相同點是()
A.適用領域
B.融資本質
C.承擔風險
D.合同類型
答案:B
解析:考查不同項目融資方式的概念、特點。本題考PFI與BOT的比較,多次考過。今年是最基本的一次考試,本質上是考的項目融資的特點,不管BOT、TOT、PFI都是項目融資,都是以項目本身資產及未來是收益作為保證來融資的。所以,選B。
45.為確保政府財政承受能力,每一年全部PPP項目需要從預算中安排的支出占一股公共預算支出的比例,應當不超過()。P254
A.20%
B.15%
C.10%
D.5%
答案:C
解析:考查PPP模式,新增內容,一般都會講到這個數10%,不難。
46.企業所得稅應實行25%的比例稅率。但對于符合條件的小型微利企業,減按()的稅率征收企業所得稅。
A.5%
B.10%
C.15%
D.20%
答案:D
解析:考查所得稅計稅依據和稅率,常規考查,13年考過同樣一個題目。企業所得稅實行 25% 的比例稅率。對于非居民企業取得的應稅所得額,適用稅率為 20% 。符合條件的小型微利企業,減按 20% 的稅率征收企業所得稅。需要重點扶持的高新技術企業,減按 15% 的稅率征收企業所得稅。
47.我囯城鎮土地使用稅采用的稅率是()
A.定額稅率
B.超率累進稅率
C.幅度稅率
D.差別比例稅率
答案:A
解析:考查城鎮土地使用稅的計稅依據和稅率。城鎮土地使用稅采用定額稅率。按大、中、小城市和縣城、建制鎮和工礦區分別規定每平方米土地使用稅年應納稅額。具體標準為:①大城市1. 5 元至 30 元;②中等城市1. 2 元至 24 元;③小城市 O. 9 元至 18 元;④縣城、建制鎮和工礦區 O. 6 元至 12 元。
48.根據《關于工傷保險率問題的通知》,建筑業用人單位繳納工傷保險費較高可上浮到本行業基準率的()
A.120%
B.150%
C.180%
D.200%
答案:B
解析:考查工傷保險費率。用人單位屬于二、三類行業的,費率實行浮動。用人單位的初次繳費費率,按行業基準費率確定,以后由統籌地區社會保險經辦機構根據用人單位工傷保險費使用、工傷發生率、職業病危害程度等因素, 1~3 年浮動一次。在行業基準費率的基礎上,可上下各浮動兩檔:上浮第一檔到本行業基準費率的 120% ,上浮第二檔到本行業基準費率的 150% ,下浮第一檔到本行業基準費率的 80% ,下浮第二檔到本行業基準費率的 50% 。費率浮動的具體辦法由各統籌地區勞動保障行政部門會同財政、衛生、安全監管部門制定。
49.工程項目經濟評價包括財務分析和經濟分析,其中財務分析采用的標準和參數是()。
A.市場利率和凈收益
B.社會折現率和凈收益
C.市場利率和凈利潤
D.社會折現率和凈利潤
答案:C
解析:考查財務分析與經濟分析的聯系與區別,常規考查,幾乎每年都考。兩種分析采用的評價標準和參數不同。項目財務分析的主要標準和參數是凈利潤、財務凈現值、市場利率等,而項目經濟分析的主要標準和參數是凈收益、經濟凈現值、社會折現率等。
50.對有營業收入的非經營性項目進行財務分析時,應以營業收入抵補下列支出;①生產經營耗費②償還借款利息③繳納流轉稅④計提折舊和償還借款本金
A.①②③④
B.①③②④
C.③①②④
D.①③④②
答案:B
解析:考查工程項目財務評價-非經營性項目財務分析。收入補償費用的順序應為:補償人工、材料等生產經營耗費、繳納流轉稅、償還借款利息、計提折舊和償還借款本金。
51.施工圖預算審查方法中,審查速度快但審重精度較差的是()
A.標準預算審查法
B.對比審查法
C.分組計算審查法
D.全面審查法
答案:C
解析:考查施工圖預算審查的方法,常規考查。分組計算審查法。是指將相鄰且有一定內在聯系的項目編為一組,審查某個分量,并利用不同量之間的相互關系判斷其他幾個分項工程量的準確性。其優點是可加快工程量審查的速度;缺點是審查的精度較差。
52.下列不同計價方式的合同中,建設單位最難控制工程造價的是()
A.成本加百分比酬金合同
B,單價全同
C.目標成本加獎罰合同
D.總價合同
答案:A
解析:考查合同計價方式,常規考查,13/14/15年考過。
53.關于《標準施工招標文件》中用合同條款的說法,正確的是()。
A.通用合同條款適用于設計和施工同屬于一個承包商的施工招標
B.通用合同條款同時適用于單價合同和總價合同
C.通用合同條款只適用于單價合同
D.通用合同條款只適用于總價合同
答案:B
解析:考查《標準施工招標文件》。首先應排除A。該合同條款適用于總價也適用于單價。
54.根據《標準施工招標文件》合同雙方發生爭議采用爭議評審的,除專用合同條款另有約定外,爭議評組應在()內做出書面評審意見。
A.收到爭議評審申請請報告后28天
B.收到被申請人答辯報告后28天
C.爭議調查會結束后14天
D.收到合同雙方報告后14天
答案:C
55.根據《建設項目工程總承包合同(示范文本)》,發包人應在收到承包人按約定提交的最終竣工結算資料的()天內,結清竣工結算款項。
A.14
B.15
C.28
D.30
答案:D
56.根據FIDIC《土木工程施工合同條件》,給指定分包商的付款應從()中開支。
A.暫定金額
B.暫估價
C.分包管理費
D.應分攤費用
答案:A
57.某固定資產原價為10000元,預計凈殘值為1000元,預計使用年限為4年,采用年數總和法進行折舊,則第4年的折舊額為()元。
A.2250
B.1800
C.1500
D.900
答案:D
58.下列施工成本考核指標中,屬于施工企業對項目成本考核的是()。
A.項目施工成本降低率
B.目標總成本降低率
C.施工責任目標成本實際降低率
D.施工計劃成本實際降低率
答案:A
59.其工程施工至2016年12月底,已完工程計劃用2000萬元,擬完工程計劃費用2500萬元,已完工程實際用為1800萬元,則此時該工程的費用績效指數CPI為()。P351
A.0.8
B.0.9
C.1.11
D.1.25
答案:C
解析:考查工程費用的動態監控(贏得值法),常規考查。只要會三個參數,就可以做對該題,不需要記憶誰減去誰,或誰除以誰。
三個參數:
擬完工工程計劃費用(2500)
已完工程計劃費用(2000)
已完工程實際費用(1800)
2000/1800=1.11
60.下列偏差分析方法中,既可分析費用偏差,又可分析進度偏差的是()
A.時標網絡圖和曲線法
B.曲線法和控制圖法
C.排列圖法和時標網絡圖法
D.控制圖法和表格法
答案:A
二、多頂選擇題(共20題,每題2分。每題的備選項中,有2個或2個以上符合題意,至少有1個錯項。錯選,本題不得分;少選,所選的每個選項得0.5分)
61.為有效控制工程造價,應將工程造價管理的重點放在()階段。
A.施工招標
B.施工
C.策劃決策
D.設計
E.竣工驗收
答案:CD
62.根據《工程造價咨詢企業管理辦法》,甲級工程造價咨詢企業的資質標準有()
A.技術負責人從事工程造價專業工作15年以上
B.注冊造價工程師不少于10人
C.企業注冊資本不少于200萬人
D.專職從事工程造價專業工作的人員不少于12人
E.注冊造價工程師人數不低于出資人總數的60%
答案:ABE
63.根據《建設工程安全生產管理條例》,對于列入建設工程概算的安全作業環境及安全施工措施所需費用,應當用于()
A.專項施工方案安全驗算論證
B.施工安全防護用具的采購
C.安全施工措施的落實
D.安全生產條件的改善
E.施工安全防護設施的更新
答案:BCDE
64.根據《招標投標實施條例》,關于投標保證金的說法,正確的有()。
A.投標保證金有效期應當與投標有效期一致
B.投標保證金不得超過招標項目估算價的2%
C.采用兩階段招標的,投標應在第一階段提交投標保證金
D.招標人不得挪用投標保證金
E.招標人最遲應在簽訂書面合同時同時退還投標保證金
答案:ABD
65.根據《合同法》,可變更或可撤銷合同是指()的合同。
A.惡意串通損害利益
B.惡意串通損害集體利益
C.因重大誤解訂立
D.因重大過失造成對方財產損失
E.訂立合同時顯失公平
答案:CE
66.根據《建筑工程施工質量驗收統一標準》,下列工程中,屬于分部工程的有()
A.砌體結構工程
B.智能建筑工程
C.建筑節能工程
D.土方回填工程
E.裝飾裝修工程
答案:BCE
67.建設工程組織加快的成倍節拍流水施工的特點有()
A.統一施工過程的各施工段上的流水節拍成倍數關系
B.相鄰施工過程的流水步距相等
C.專業工作隊數等于施工過程數
D.各專業工作隊在施工段上可連續工作
E.施工段之間可能有空閑時間
答案:BD
68.在工程網絡計劃中,關鍵工作是指()的工作。
A.最遲完成時間與最早完成時間之差最小
B.自由時差為零
C.總時差最小
D.持續時間最長
E.時標網絡計劃中沒有波形線
答案:AC
69.某工程雙代號時標網絡計劃如下圖所示,第8周末進行實際進度檢查的結果如圖中實際進度前鋒線所示,則正確的結論有()
A.工作D拖后2周,不影響工期
B.工作E拖后3周,不影響工期
C.工作F拖后2周,不影響緊后工作
D.總工期預計會延長2周
E.工作H的進度不會受影響
答案:BCD
70.工程項目風險管理中,可用來識別風險的方法()
A.敏感性分析法
B.財務報表法
C.頭腦風暴法
D.計劃評審技術法
E.流程圖法
答案:BCE
71.下列影響因素中,屬于確定基準收益率基礎因素的有()P175
A.資金成本
B.投資風險
C.周轉速度
D.機會成本
E.通貨膨脹
答案:AD
解析:考查基準收益率的確定,經???,與16年考的一樣。資金成本和機會成本是確定基準收益率的基礎。
72.下列評價方法中,用于互斥投資方案靜態分析評價的有()P182
A.增量投資內部收益率法
B.增量投資收益率法
C.增量投資回收期法
D.凈年值法
E.年折算用法
答案:BCE
解析:考查互斥方案的平均方法,常規考法,考歸類。AD屬于動態的方法。
73.價值工程活動中,按功能的重要程度不同,產品的功能可分為()。P200
A.基本功能
B.必要功能
C.輔助功能
D.過剩功能
E.不是功能
答案:AC
解析:考查功能分類,常規知識點。
74.既有法人作為項目法人等措施項目資金時。屬于既有法人外部資金來源的有()P225
A.企業增資擴股
B.企業資金變現
C.企業產權轉讓
D.企業發行債券
E.企業發型優先股股票
答案:AE
解析:考查項目資金籌措渠道與方式,常規考查??繗w類,講課時都給大家歸過類。D屬于債務融資,不屬于項目資本金融資方式。
75.與傳統融資方式相比較,項目融資的特點有()。P239
A.信用結構多樣化
B.融資成本較高
C.可以利用稅務優勢
D.風險種類少
E.屬于公司負債性融資
答案:ABC
解析:考查項目融資的特點,常規考查,每年都考。
76.對PPP項目進行物有所值(VFM)定性評價的基本指標有()
A.運營收入增長潛力
B.潛在競爭程度
C.項目建設規模
D.政府機構能力
E.風險識別與分配
答案:BDE
77.下列工程項目策劃內容中,屬于工程項目實施策劃的有()
A.工程項目組織策劃
B.工程項目定位策劃
C.工程項目目標策劃
D.工程項目融資策劃
E.工程項目功能策劃
答案:ACD
78.根據《標準施工招標文件》中的合同條款,需要由承包人承擔的有()
A.承包人協助監理人使用施工控制網所發生的費用
B.承包人車輛外出行駛所發生的場外公共道路通行費用
C.發包人提供的測量基準點有誤導致承包人測量放線返工所發生的費用
D.監理人剝離檢查已覆蓋合格隱蔽工程所發生的費用
E.承包人修建臨時設施需要臨時占地所發生的費用
答案:AB
79.施工投標采用不平衡報價法時,可以適當提高報價的項目有()
A.工程內容說明不清楚的項目
B.暫定項目中必定要施工的不分標項目
C.單價與包干混合制合同中采用包干報價的項目
D.綜合單價分析表中的材料費項目
E.預計開工后工程量會減少的項目
答案:BC
80.關于工程竣工結算的說法,正確的有()
A.工程竣工結算分為單位工程竣工結算和單項工程竣工結算
B.工程竣工結算均有總承包單位編制
C.建設單位審查工程竣工結算的遞交程序和資料的完整性
D.施工承包單位要審查工程竣工結算的項目內容與合同約定內容的一致性
E.建設單位要審查實際施工工期對工程造價的影響程度
答案:CDE
造價工程師備考資料免費領取
去領取
專注在線職業教育25年