摘要:通信專業終端與業務考試多進制相移鍵控:多進制相移鍵控通常簡稱為MPSK,是利用載波的多個相位來代表多進制符號或二進制碼組,即一個相位對應一個多進制符號或者一組二進制碼元。
4.3 多進制相移鍵控
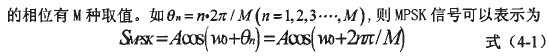
多進制相移鍵控通常簡稱為MPSK,是利用載波的多個相位來代表多進制符號或二進制碼組,即一個相位對應一個多進制符號或者一組二進制碼元。MPSK信號

多相制信號可以看作m個振幅及頻率均相同初相不同的2ASK信號之和,當已調信號的碼元速率相同時,其帶寬與2ASKMASK及二相制信號是相同的。此時信息速率與MASK相同,是2ASK二相制的
。可見,多相制是一種頻帶利用率高的高效率傳輸方式。再加上有較好的抗噪聲性能,因而得到廣泛的應用。
MPSK調制中最常見的方式是4PSK,也叫四相絕對相移鍵控QPSK。四相絕對相移鍵控主要是利用載波的四種不同的相位來表征數字信息,它可以看做是兩個正交的二相絕對相移調制而成。

返回目錄:
編輯推薦:
通信工程師備考資料免費領取
去領取
專注在線職業教育25年