摘要:傳輸與接入培訓SDH網絡結構和網絡保護機理
3. SDH網絡結構和網絡保護機理
3.1 基本的網絡拓撲結構
網絡拓撲的基本結構有:鏈形,星形,樹形,環(huán)形,網孔形當前用得最多的網絡拓撲是鏈形和環(huán)形。
如圖3-1所示

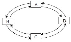
傳輸網上的業(yè)務,按流向可分為單向業(yè)務和雙向業(yè)務,以環(huán)網為例說明單向業(yè)務和雙向業(yè)務的區(qū)別如圖5-2所示

若A和C之間互通業(yè)務A到C的業(yè)務路由,假定是A- B -C 若此時C到A的業(yè)務路由是C -B–A,則業(yè)務從A到C和從C到A的路由相同稱為一致路由。若此時C到A的路由是C-D- A 那么業(yè)務從A到C和業(yè)務從C到A的路由不同稱為分離路由。我們稱一致路由的業(yè)務為雙向業(yè)務,分離路由的業(yè)務為單向業(yè)務。
常見組網的業(yè)務方向和路由,如表5-1所示

通信工程師備考資料免費領取
去領取
專注在線職業(yè)教育25年