摘要:軟件設計師真題2009年5月上午題及答案三
● PC機處理的音頻信號主要是人耳能聽得到的音頻信號,它的頻率范圍是 (B) .
(12)A. 300Hz~3400Hz B. 20Hz~20KHz C. 10Hz~20KHz D. 20Hz~44KHz
● 多媒體計算機圖像文件格式分為靜態圖像文件格式和動態圖像文件格式, (C) 屬于靜態圖像文件格式。
(13)A. MPG B. AVS C. JPG D. AVI
● 計算機獲取模擬視頻信息的過程中首先要進行(A)。
(14)A. A/D變換 B.數據壓縮 C. D/A變換 D.數據存儲
●在采用面向對象技術構建軟件系統時,很多敏捷方法都建議的一種重要的設計活動是(D),它是一種重新組織的技術,可以簡化構件的設計而無需改變其功能或行為。
(15)A.精化 B.設計類 C.重構 D.抽象
●一個軟件開發過程描述了"誰做"、"做什么"、"怎么做"和"什么時候做",RUP用(A)來表述"誰做".
(16)A.角色 B.活動 C.制品 D.工作流
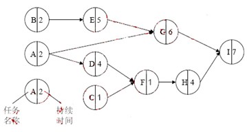
●某項目主要由 A~I 任務構成,其計劃圖(如下圖所示)展示了各任務之間的前后關系以及每個任務的工期(單位:天),該項目的關鍵路徑是 (C) .在不延誤項目總工期的情況下,任務 A 最多可以推遲開始的時間是(C)天。

(17)A. A→G→I B. A→D→F→H→I C. B→E→G→I D. C→F→H→I
(18)A. 0 B. 2 C. 5 D. 7
● 軟件風險一般包含 (C) 兩個特性。
(19)A.救火和危機管理 B.已知風險和未知風險 C.不確定性和損失 D.員工和預算
●函數調用時,基本的參數傳遞方式有傳值與傳地址兩種,(C)。
(20)A.在傳值方式下,形參將值傳給實參
B.在傳值方式下,實參不能是數組元素
C.在傳地址方式下,形參和實參間可以實現數據的雙向傳遞
D.在傳地址方式下,實參可以是任意的變量和表達式
編輯推薦:軟件設計師考試系統開發和運行知識習題匯總
軟考備考資料免費領取
去領取
專注在線職業教育25年