摘要:以下是由希賽網整理的2014年下半年程序員考試上午真題,希望對備考程序員考試的考生有所幫助。
2014年下半年程序員考試上午真題二:
● 設有字符串S='software',其長度為3的子串數目為( )。
(38)A.8
B.7
C.6
D.5
● 在數據結構中,( )是與存儲結構無關的術語。
(39)A.單鏈表
B.二叉樹
C.哈希表
D.循環隊列
● 已知某二叉樹的先序遍歷序列為ABCD,后序遍歷序列為CDBA,則該二叉樹為( )。
(40)A.
B.
C.
D.
● 在有13個元素構成的有序表data[1..13]中,用折半查找(即二分查找,計算時向下取整)方式查找值等于data[8]的元素時,先后與( )等元素進行了比較。
(41)A.data[7]、data[6]、data[8]
B.data[7]、data[8]
C.data[7]、data[10]、data[8]
D.data[7]、data[10]、data[9]、data[8]
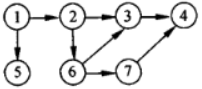
● 對于下圖,從頂點1進行深度優先遍歷時,不可能得到的遍歷序列是( );若將該圖用鄰接矩陣存儲,則矩陣中的非0元素數目為( )。

(42)A.1234567
B.1523467
C.1234675
D.1267435
(43)A.7
B.8
C.14
D.16
● 有些類之間存在一般和特殊關系,即一些類是某個類的特殊情況,某個類是一些類的一般情況。因此,類( )是其他各類的一般情況。
(44)A.汽車
B.飛機
C.輪船
D.交通工具
● 不同的對象收到同一消息可以進行不同的響應,并且會產生完全不同的結果,這種現象稱為多態,其實現由( )支持。多態分為多種,( )多態是指同一個名字在不同上下文中可代表不同的含義。
(45)A.繼承
B.封裝
C.過載
D.覆蓋
(46)A.參數
B.包含
C.過載
D.強制
● 統一建模語言(UML)圖中,( )用于對時間如何改變對象的狀態以及引起對象從一個狀態向另一個狀態轉換的事件進行建模。( )是此種圖的一種特殊情況,對于系統的功能建模特別重要,并強調對象間的控制流程。
(47)A.序列圖
B.狀態圖
C.活動圖
D.通信圖
(48)A.序列圖
B.狀態圖
C.活動圖
D.通信圖
● 某考務處理系統的部分需求包括:檢查考生遞交的報名表;檢查閱卷站送來的成績清單;根據考試中心指定的合格標準審定合格者。若用頂層數據流圖來描述,則( )不是數據流。
(49)A.考生
B.報名表
C.成績清單
D.合格標準
● 以下關于結構化方法的敘述中,不正確的是( )。
(50)A.指導思想是自頂向下、逐層分解
B.基本原則是功能的分解與抽象
C.適合解決數據處理領域的問題
D.特別適合解決規模大的、特別復雜的項目
● 以下關于單元測試的敘述中,不正確的是( )。
(51)A.側重于檢查模塊中的內部處理邏輯和數據結構
B.一般用白盒測試技術
C.強調檢查模塊的接口
D.需要檢查全局和局部數據結構
● 軟件系統的維護包括多個方面,增加一些在系統分析和設計階段中沒有規定的功能與性能特征,從而擴充系統功能和改善系統性能,是( )維護。
(52)A.正確性
B.適應性
C.完善性
D.預防性
● 一般情況下,企業對程序員的素質要求中不包括( )。
(53)A.根據有關的合同和規范,對所編寫的程序和文檔進行保護
B.根據企業發展需求繪制軟件系統的邏輯模型
C.認真細致工作,并想方設法提高軟件質量
D.具有良好的團隊合作精神
● 許多大型企業的數據中心,為了解決存儲擴張和管理難度增大的問題,采用了存儲虛擬化技術,其主要作用不包括( )。
(54)A.將內存和一部分磁盤容量作為虛存,以利于同時調度運行多個應用程序
B.屏蔽多種異構存儲設備的物理特性
C.實現不同類型存儲資源的集中管理和統一分配
D.滿足多業務系統對存儲性能和容量的不同要求,提高存儲服務的靈活性
● 用戶交互界面設計的易用性原則不包括( )。
(55)A.用戶交互界面盡量由業務人員設計
B.所用名詞和術語盡量采用業務用語
C.功能菜單盡量與業務劃分基本一致
D.操作流程盡量與業務流程基本一致
● 以下關于軟件測試的敘述中,不正確的是( )。
(56)A.測試能提高軟件的質量,但軟件的質量不能完全依賴測試
B.一般,難以做到徹底的測試,也不允許無休止地測試
C.經測試并改正錯誤后,發現錯誤較多的模塊比發現錯誤較少的模塊更可靠
D.軟件測試的困難在于如何有效地進行測試,如何放心地停止測試
● 在數據庫系統中,數據的( )是指保護數據庫,以防止不合法的使用所造成的數據泄漏、更改或破壞;數據的( )是指數據庫正確性和相容性,是防止合法用戶使用數據庫時向數據庫加入不符合語義的數據。
(57)A.安全性
B.可靠性
C.完整性
D.并發控制
(58)A.安全性
B.可靠性
C.完整性
D.并發控制
● 采用二維表格結構表達實體及實體間聯系的數據結構模型稱為( )。
(59)A.層次模型
B.網狀模型
C.關系模型
D.面向對象模型
● 某高校數據庫中,學生S、教師T和課程C的關系模式分別為:S(學號,姓名,性別,家庭住址,電話);T(教師號,姓名,性別,部門,工資);C(課程號,課程名)。假設一個學生可以選擇多門課程,一門課程可以由多個學生選擇;一個教師可以講授多門課程,一門課程可以由多個教師講授。那么,學生“選課”和教師“講授”課程的聯系類型分別為( );“選課”聯系( )。
查詢“軟件教研室”教師的平均工資、較高與最低工資之間差值的SQL話句如下:
SELECT AVG(工資) AS 平均工資, ( )
FROM T
WHERE部門='軟件教研室';
(60)A.1:1,1:n
B.1:n,1:n
C.n:1,n:m
D.n:m,n:m
(61)A.需要構建一個獨立的關系模式,且主關鍵字為:學生號
B.需要構建一個獨立的關系模式,且主關鍵字為:學生號,課程號
C.需要構建一個獨立的關系模式,且主關鍵字為:學生號,教師號
D.類型為1:n,所以不需要構建一個獨立的關系模式
(62)A.MAX(工資)-MIN(工資)AS差值
B.差值AS MAX(工資)-MIN(工資)
C.MAX(工資)-MIN(工資)IN差值
D.差值IN MAX(工資)-MIN(工資)
● 測試四個程序模塊共發現了42個錯,則( )。
(63)A.至少有1個模塊至少有11個錯
B.至少有1個模塊至少有12個錯
C.至少有2個模塊都至少有11個錯
D.至多有2個模塊都至多有14個錯
● 下圖是某工程A~E五個作業的進度計劃。按照該計劃,到5月31日檢查時,已完成作業數、已經開始但尚未完成的作業數以及尚未開始的作業數應分別為( )。

(64)A.1,2,2
B.1,3,1
C.2,2,1
D.3,2,0
● 假設有5個網站A、B、C、D、E,這些網站之間具有的鏈接關系如下表:

其中符號“√”表示存在從一個網站到另一個網站的鏈接。假設網站的度定義為有多少個網站鏈接到該網站,則上述5個網站中度較高的是( )。
(65)A.A
B.B
C.C
D.D
● ICMP協議屬于因特網中的( )協議,ICMP協議數據單元封裝在( )中傳送。
(66)A.數據鏈路層
B.網絡層
C.傳輸層
D.會話層
(67)A.以太幀
B.TCP段
C.UDP數據報
D.IP數據報
● HTML中,以下標記的type屬性值( )在瀏覽器中的顯示不是按鈕形式。
(68)A.submit
B.button
C.password
D.reset
● 在瀏覽器地址欄中輸入( )可訪問FTP站點ftp.abc.com。
(69)A.ftp.abc.com
B.ftp://ftp.abc.com
C.http://ftp.abc.com
D.http://www.ftp.abc.com
● 匿名FTP訪問通常使用( )作為用戶名。
(70)A.guest
B.user
C.administrator
D.anonymous
● ( ) is a list of items that are accessible at only one end of the list.
(71)A.A tree
B.An array
C.A stack
D.A queue
● Stated more formally, an object is simply ( ) of a class.
(72)A.a part
B.a component
C.an instance
D.an example
● Many computer languages provide a mechanism to call ( ) provided by libraries such as in .dlls.
(73)A.instructions
B.functions
C.subprograms
D.subroutines
● ( ) is a very important task in the software development process, because an incorrect program can have significant consequences for the users.
(74)A.Debugging
B.Research
C.Installation
D.Deployment
● When paying online, you should pay attention to ( ) your personal and financial information.
(75)A.reading
B.writing
C.executing
D.protecting
軟考科目怎么選?
微信掃碼下方二維碼找答案
▼ ▼ ▼
熱門:信息系統監理師備考 | 網絡工程師備考 | 軟件設計師備考
推薦:信息系統項目管理師網絡課堂 | 2026年軟考報名時間及入口匯總表
課程:信息系統項目管理師報考指南 | PMP課程
軟考備考資料免費領取
去領取
專注在線職業教育25年