摘要:下面是關于軟件設計師2014年上半年考試上午真題第一部分內容,供大家學習。點擊查看完整版2014年上半年上午真題匯總。
>>>點擊進入2017年軟件設計師網絡課堂課
>>>點擊進入軟件設計師歷年真題題庫
>>>點擊進入2017年軟件設計師考試指南
下面是關于軟件設計師2014年上半年考試上午真題第一部分內容,供大家學習。點擊查看完整版2014年上半年上午真題匯總。
● 在CPU中,常用來為ALU執行算術邏輯運算提供數據并暫存運算結果的寄存器是__(1)__。
(1)A.程序計數器
B.狀態寄存器
C.通用寄存器
D.累加寄存器
● 某機器字長為n,較高位是符號位,其定點整數的最大值為__(2)__。
(2)A.2n-1
B.2n-1-1
C.2n
D.2n-1
● 海明碼利用奇偶性檢錯和糾錯,通過在n個數據位之間插入k個檢驗位,擴大數據編碼的碼距。若n=48,則k應為__(3)__。
(3)A.4
B.5
C.6
D.7
● 通常可以將計算機系統中執行一條指令的過程分為取指令,分析和執行指令3步。若取指令時間為4△t,分析時間為2△t。執行時間為3△t,按順序方式從頭到尾執行完600條指令所需時間為__(4)__△t;若按照執行第i條,分析第i+1條,讀取第i+2條重疊的流水線方式執行指令,則從頭到尾執行完600條指令所需時間為__(5)__△t。
(4)A.2400
B.3000
C.3600
D.5400
(5)A.2400
B.2405
C.3000
D.3009
● 若用256K×8bit的存儲器芯片,構成地址40000000H到400FFFFFH且按字節編址的內存區域,則需__(6)__片芯片。
(6)A.4
B.8
C.16
D.32
● 以下關于木馬程序的敘述中,正確的是__(7)__。
(7)A.木馬程序主要通過移動磁盤傳播
B. 木馬程序的客戶端運行在攻擊者的機器上
C. 木馬程序的目的是使計算機或網絡無法提供正常的服務
D. Sniffer是典型的木馬程序
● 防火墻的工作層次是決定防火墻效率及安全的主要因素,以下敘述中,正確的是__(8)__。
(8)A. 防火墻工作層次越低,工作效率越高,安全性越高
B. 防火墻工作層次越低,工作效率越低,安全性越低
C. 防火墻工作層次越高,工作效率越高,安全性越低
D. 防火墻工作層次越高,工作效率越低,安全性越高
● 以下關于濾防火墻和代理服務防火墻的敘述中,正確的是__(9)__。
(9)A.濾成本技術實現成本較高,所以安全性能高
B. 濾技術對應用和用戶是透明的
C. 代理服務技術安全性較高,可以提高網絡整體性能
D.代理服務技術只能配置成用戶認證后才建立連接
● 王某買了一幅美術作品原件,則他享有該美術作品的__(10)__。
(10)A.著作權
B.所有權
C.展覽權
D.所有權與其展覽權
● 甲、乙兩軟件公司于2012年7月12日就其財務軟件產品分別申請“用友”和 “用有”商標注冊。兩財務軟件相似,甲第一次使用時間為2009年7月,乙第一次使用時間為2009年5月。此情形下,__(11)__能獲準注冊。
(11)A.“用友”
B.“用友”與“用有”都
C.“用有”
D.由 甲、乙抽簽結果確定
● 以下媒體中,__(12)__是表示媒體,__(13)__是表現媒體。
(12)A.圖像
B.圖像編碼
C.電磁波
D.鼠標
(13)A.圖像
B.圖像編碼
C.電磁波
D.鼠標
● __(14)__表示顯示器在橫向(行)上具有的像素點數目。
(14)A.顯示分辨率
B.水平分辨率
C.垂直分辨率
D.顯示深度
● 以下關于結構化開發方法的敘述中,不正確的是__(15)__。
(15)A.將數據流映射為軟件系統的模塊結構
B. 一般情況下,數據流類型包括變換流型和事務流型
C. 不同類型的數據流有不同的映射方法
D. 一個軟件系統只有一種數據流類型
● 模塊A提供某個班級某門課程的成績給模塊B,模塊B計算平均成績、較和最低分,將計算結果返回給模塊A,則模塊B在軟件結構圖中屬于__(16)__模塊。
(16)A.傳入
B.傳出
C.變換
D. 協調
● __(17)__軟件成本估算模型是一種靜態單變量模型,用于對整個軟件系統進行估算。
(17)A.Putnam
B. 基本COCOMO
C. 中級COCOMO
D. 詳細COCOMO
● 以下關于進度管理工具圖的敘述中,不正確的是__(18)__。
(18)A.能清晰地表達每個任務的開始時間、結束時間和持續時間
B. 能清晰地表達任務之間的并行關系
C. 不能清晰地確定任務之間的依賴關系
D. 能清晰地確定影響進度的關鍵任務
● 項目復雜性、規模和結構的不確定性屬于__(19)__風險。
(19)A.項目
B.技術
C.經濟
D.商業
● 以下程序設計語言中,__(20)__更適合用來進行動態網頁處理。
(20)A.HTML
B. LISP
C. PHP
D. JAVA/C++
● 引用調用方式下進行函數調用,是將__(21)__。
(21)A.實參的值傳遞給形參
B.實參的地址傳遞給形參
C.形參的值傳遞給實參
D.形參的地址傳遞給實參
● 編譯程序對高級語言源程序進行編譯的過程中,要不斷收集、記錄和使用源程序中一些相關符號的類型和特征等信息,并將其存入__(22)__中。
(22)A.符號表
B 哈希表
C.動態查找表
D.棧和隊列
● 設計操作系統時不需要考慮的問題是__(23)__。
(23)A.計算機系統中硬件資源的管理
B.計算機系統中軟件資源的管理
C. 用戶與計算機之間的接口
D.語言編譯器的設計實現
● 假設某計算機系統中資源R的可用數為6,系統中有3個進程競爭R,且每個進程都需要i個R,該系統可能會發生死鎖的最小i值是__(24)__。若信號量S的當前值為-2,則R的可用數和等待R的進程數分別為__(25)__。
(24)A.1
B.2
C.3
D.4
(25)A.0、0
B.0、1
C.1、0
D.0、2
● 某計算機系統頁面大小為4K,若進程的頁面變換表如下所示,邏輯地址為十六進制1D16H。該地址經過變換后,其物理地址應為十六進制__(26)__。


(26)A.1024H
B.3D16H
C.4D16H
D.6D16H
● 若某文件系統的目錄結構如下圖所示,假設用戶要訪問文件fault.swf,且當前工作目錄為swshare,則該文件的全文件名為__(27)__,相對路徑和絕對路徑分別為__(28)__。


(27)A.fauit.swf
B. \flash\fault.swf
C. swsshare\flash\fault.swf
D. \swshare\flash\fault.swf
(28)A. swshare\flash\和\flash
B. flash\和\swshare\flash
C. \swshare\flash\和flash\
D. \flash\和\swshare\flash
● 以下關于統一過程UP的敘述中,不正確的是__(29)__。
(29)A.UP是以用例和風險為驅動,以架構為中心,迭代并且增量的開發過程
B. UP定義了四個階段,即起始、精化、構建和確認階段
C. 每次迭代都包含計劃、分析、設計、構造、集成、測試以及內部和外部發布
D. 每個迭代有五個核心工作流
某公司要開發一個軟件產品,產品的某些需求是明確的,而某些需求則需要進一步細化。由于市場競爭的壓力,產品需要盡快上市,則開發該軟件產品最不適合采用 __(30)__模型。
(30)A.瀑布
B.原型
C .增量
D.螺旋
● 在屏蔽軟件錯誤的容錯系統中,冗佘附加技術的構成不包括__(31)__。
(31)A.關鍵程序和數據的冗余存儲及調用
B. 冗余備份程序的存儲及調用
C. 實現錯誤檢測和錯誤恢復的程序
D. 實現容錯軟件所需的固化程序
● 采用McCabe度量法計筧下列程序圖的環路復雜性為__(32)__。


(32)A.2
B. 3
C. 4
D. 5
● 以下關于文檔的敘述中,不正確的是__(33)__。
(33)A.文檔僅僅描述和規定了軟件的使用范圍及相關的操作命令
B.文檔也是軟件產品的一部分,沒有文檔的軟件就不能稱之為軟件
C.軟件文檔的編制在軟件開發工作中占有突出的地位和相當大的工作量
D.高質量文檔對于發揮軟件產品的效益有著重要的意義
● 某搜索引擎在使用過程中,若要增加接受語音輸入的功能,使得用戶可以通過 語音輸入來進行搜索,此時應對系統進行__(34)__維護。
(34)A.正確性
B. 適應性
C. 完善性
D. 預防性
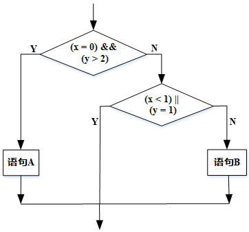
● 采用白盒測試方法對下圖進行測試,設計了4個測試用例:①(x=0,y=3), ②(x=1,y=2), ③(x=-1,y=2),④(x=3,y=1)。至少需要測試用例①②才能完成__(35)__覆蓋,至少需要測試用例①②③或①②④才能完成__(36)__覆蓋。

35)A.語句
B. 條件
C. 判定\條件
D. 路徑
(36)A. 語句
B. 條件
C. 判定\條件
D. 路徑
軟考備考資料免費領取
去領取
專注在線職業教育25年