摘要:距離2017下半年信息系統監理師考試還有三個月的時間,大家在備考的時候如果僅僅看教材是完全不夠的,多做歷年軟考真題是一種很好的鞏固知識的方法。希賽小編為大家整理了2011年上半年信息系統監理師考試上午真題,希望對大家有所幫助。
距離2017下半年信息系統監理師考試還有三個月的時間,大家在備考的時候如果僅僅看教材是完全不夠的,多做歷年軟考真題是一種很好的鞏固知識的方法。希賽小編為大家整理了2011年上半年信息系統監理師考試上午真題,希望對大家有所幫助。
● 信息系統工程建設過程比較復雜,涉及基礎設施、網絡、軟件開發、系統集成等各個方面。下列敘述中,不正確的是 __(1)__。
(1)A.由于信息系統工程屬于典型的多學科合作項目,因此承建單位除了要有IT方面的技術外,還要有行業應用的豐富經驗
B.信息系統工程可以采用軟件復用技術,因此能夠標準化快速開發完成
C.信息系統工程行業特征比較明顯,行業差異比較大
D.信息系統工程在逐漸明晰的過程中產生很多變更,意味著工作范圍可能發生變更
● 以下對信息系統建設的原則的理解,不正確的是 __(2)__ 。
(2)A.在項目實施過程中,應由承建方高層抓項目管理
B.應切實加強用戶的參與
C.系統建設是一把手工程,應得到建設方高層的大力支持
D.在信息系統項目實施過程中應制定計劃,計劃可按照需要和工作程序及時調整
● 在計算機存儲系統中,存儲速度最快的設施是 __(3)__ 。
(3)A.主存
B.Cache
C.磁帶
D.磁盤
● 下面關于交換機的說法中,正確的是 __(4)__ 。
(4)A.以太網交換機可以連接運行不同網絡層次協議的網絡
B.從工作原理上講,以太網交換機是一種多端口網橋
C.集線器是交換機的一種類型
D.通過交換機連接的一組工作站形成一個沖突域
● 以下關于MPLS技術特點的說法中,不正確的是 __(5)__。
(5)A.MPLS充分采用原有的IP路由,在此基礎上改進,保證了網絡靈活性
B.MPLS采用幀中繼進行傳輸
C.MPLS網絡的數據傳輸與路由計算分開,是一種面向連接的傳輸技術
D.MPLS的標簽合并機制支持不同數據流的合并傳輸
● 下列對http://www.cc.org/welcome.html理解不正確的是 __(6)__ 。
(6)A.http是URL
B.http://www.cC.org/welcome.html是對welcome進行尋址
C.www.cC.org是服務主機名
D.welcome.html是網頁文件名
● 用戶使用匿名FTP連接遠程主機,而無須成為其注冊用戶。下列 __(7)__ 是匿名FTP的用戶標識符。
(7)A.real
B.guest
C.anonymous
D.ftp
● __(8)__ 一般不屬于核心交換機選型的首要策略。
(8)A.高性能和高速率
B.良好的可管理性
C.強大的網絡控制能力
D.價格便宜、使用方便、即插即用
● 下列對網絡層次化設計理解,不正確的是 __(9)__ 。
(9)A.層次化設計易于擴展
B.可以使故障排除更容易
C.使網絡容易升級到最新的技術,無需改變整個環境
D.使配置復雜性提高,不易被攻擊
● 電子郵件系統(Email)一般適合采用的交換方式是 __(10)__ 。
(10)A.時分交換
B.分組交換
C.ATM
D.報文交換
● 大型局域網通常劃分為核心層、匯聚層和接入層。以下關于各個網絡層次的描述中,不正確的是 __(11)__ 。
(11)A.核心層承擔訪問控制列表檢查
B.匯聚層定義了網絡的訪問策略
C.接入層提供局域網接入功能
D.接入層可以使用集線器代替交換機
● 以下關于數據存儲的理解中,說法正確的是 __(12)__ 。
(12)A.DAS存儲方式主要適用于小型網絡,當存儲容量增加時難以擴展
B.NAS存儲方式通過光纖通道技術連接存儲設備和應用服務器
C.SAN具有良好的擴展能力,實現了真正的即插即用
D.與NAS相比,SAN具有更高的連接速度和處理能力,但網絡部署比較困難
● 還原速度最快的數據備份策略是 __(13)__。
(13)A.完全備份+增量備份+差分備份
B.差分備份+增量備份
C.完全備份+增量備份
D.完全備份+差分備份
● 某綜合辦公大樓的樓高20層,其綜合布線系統一般采用的拓撲結構是__(14)__ 。
(14)A.環型
B.分級星型
C.總線型
D.星環型
● SNMP協議與OSI/RM模型中的 __(15)__ 層對應。
(15)A.會話層
B.應用層
C.表示層
D.網絡層
● 關于水平布線系統,下列說法中錯誤的是 __(16)__ 。
(16)A.水平布線系統起著支線的作用,一端連接垂直布線系統或設備間,另一端連接用戶工作區
B.水平布線系統包括安全在接線間和用戶工作區插座之間的水平方向連接的電纜及配件
C.在一個多層的建筑物中,水平布線系統是整個結構化布線系統的骨干部分
D.水平布線系統將垂直布線的干線線路延伸到用戶工作區的通信插座
● 移動流媒體技術是近幾年的熱點技術,以下關于移動流媒體特點的說法不正確的是 __(17)__ 。
(17)A.移動流媒體文件在客戶端保存
B.移動流媒體文件對客戶端存儲空間要求不高
C.移動流媒體可以實現手機、PC.電視的三屏互動
D.移動流媒體可以實時播放,大大縮短啟動延時
● 電子商務發展的核心與關鍵問題是交易的安全性,目前安全交易中最重要的兩個協議是__(18)__ 。
(18)A.S-HTTP和STT
B.SEPP和SMTP
C.SSL和SET
D.SEPP和SSL
● 若一個網絡系統中有150個信息點,按照EIA/TIA586標準進行結構化布線,則布線工程需要準備RJ45頭的總量是 __(19)__ 個。
(19)A.600
B.780
C.618
D.690
● 以下關于軟件需求分析的說法中,不正確的是 __(20)__ 。
(20)A.需求分析需要進行軟件功能和性能的技術實現方法描述
B.需求分析文檔可用于指導后續的開發過程
C.軟件需求包括業務需求、用戶需求、功能需求和非功能需求等
D.軟件需求一般應由用戶方組織進行確認
● 數據倉庫的內容是隨時間變化的,這種變化趨勢不__(21)__ 。
(21)A.不斷增加新的數據內容
B.捕捉到的新數據會覆蓋舊的快照
C.不斷刪去過期的數據內容
D.綜合數據將隨時間變化而不斷地進行重新綜合
● 軟件的軟件的 __(22)__ 反映了組織機構或客戶對系統、產品高層次的目標要求。
(22)A.業務需求
B.技術先進性
C.功能需求
D.性能需求
● 統一建模語言UML中用來反映代碼的物理結構的是 __(23)__ 。
(23)A.用例圖
B.協作圖
C.組件圖
D.狀態圖
● 在面向對象軟件開發方法中,一個對象一般由 __(24)__組成。
(24)A.名稱、消息、函數
B.名稱、屬性、實例
C.對象名、屬性、消息
D.對象名、屬性、方法
● 配置管理是軟件質量保證的重要一環,軟件配置管理的基本任務包括配置標識、版本管理、變更管理、__(25)__和配置報告。在配置管理庫中,受控庫(CL)通常以__(26)__為單位建立并維護。
(25)A.配置組管理
B.配置對象管理
C.配置審核
D.配置庫管理
(26)A.開發項目
B.配置管理項
C.子系統
D.軟件產品
● 質量體系文件通常由三部分組成,包括質量手冊、__(27)__和作業指導書。質量體系文件的特性不包括 __(28)__ 。
(27)A.質量原則
B.質量記錄
C.質量說明
D.程序文件
(28)A.法規性
B.不變性
C.性
D.適用性
● 因為JAVA平臺__(29)__,所以具有較強的可移植性。
(29)A.具有強大的數據操作和事務處理能力
B.采用JAVA虛擬機技術
C.可用的組件較多,功能豐富
D.適用于分布式系統,支持多層架構應用
● 在面向對象編程及分布式對象技術中,__(30)__是類和接口的集合。
(30)A.對象
B.組件
C.實例
D.屬性
● ISO/IEC 9126定義的軟件質量特性,包括功能性、可靠性、 __(31)__ 、效率、可維護性和可移植性。成熟性子特性屬于軟件的 __(32)__ 質量特性。
(31)A.穩定性
B.適合性
C.易用性
D.準確性
(32)A.功能性
B.可靠性
C.可維護性
D.可移植性
● 按照《電子文件歸檔與管理規范 GB/T 18894-2002》的要求,進行電子文件管理時,電子文件稿本代碼F代表 __(33)__ ,電子文件類別代碼O代表 __(34)__ 。
(33)A.草稿性電子文件
B.非正式電子文件
C.正式電子文件
D.原始電子文件
(34)A.文本文件
B.圖形文件
C.影像文件
D.超媒體鏈接文件
● 項目質量管理由質量計劃編制、質量保證和 __(35)__三方面構成。__(36)__是為使項目能夠滿足相關的質量標準而建立的有計劃的、系統的活動。
(35)A.質量體系
B.質量規范
C.質量控制
D.質量記錄
(36)A.質量計劃
B.質量保證
C.質量記錄
D.質量認證
● 關于項目風險管理的敘述, __(37)__是錯誤的。
(37)A.為了做好項目風險管理,必須采取措施避免出現需求變更的情況
B.項目風險管理過程包括風險識別、風險分析、風險應對和風險控制
C.可采用流程圖(魚刺圖)和訪談等工具進行風險識別
D.應對風險的3項基本措施是規避、接受和減輕
● 審查測試設計是監理方質量控制的重要手段,根據常用的W模型測試策略,在需求分析與系統設計過程中,監理方應審查的相應測試設計為__(38)__。
(38)A.驗收測試設計與性能測試設計
B.用戶測試設計與集成測試設計
C.單元測試設計與集成測試設計
D.確認測試設計與系統測試設計
● 在“四控,三管,一協調”的監理內容中,__(39)__活動屬于“三管”的內容。
(39)A.監理單位對隱蔽工程進行旁站和檢查
B.監理單位進行工程投資決算
C.監理單位進行合同索賠的處理
D.監理單位主持召開項目的三方工程例會和專題會議
● 用于指導監理項目部全面開展工作的綱領性文件是 __(40)__ 。
(40)A.監理大綱
B.監理規劃
C.監理細則
D.監理合同
● 下列有關監理服務質量管理方面的敘述,正確的是__(41)__ 。
(41)A.采用單位管理為主的監理服務質量的管理方式,有利于調動總監理工程師質量控制的積極性
B.監理服務質量控制可采取文件審核、旁站、詢問、征求意見等方式進行
C.監理服務質量的控制方式按照評價方式可分為預防性控制、監督性控制、補償性控制
D.采用監理項目部自我管理為主的監理服務質量的管理方式,可以保證單位各個監理項目部按照統一的要求進行監理,易于控制
● 監理工程師未能正確地履行合同中規定的職責,在工作中發生失職行為造成損失,屬于監理工作的__(42)__ 。
(42)A.行為責任風險
B.工作技能風險
C.技術資源風險
D.管理風險
● 監理實施細則是以(__(43)__為對象而編制的,用以指導各項監理活動的技術、經濟、組織和管理的綜合性文件。一般情況下,__(44)__不適合作為監理實施細則的內容。
(43)A.監理單位
B.監理項目
C.監理規劃
D.監理結構
(44)A.工程專業特點
B.監理工作流程
C.監理組織結構
D.監理控制要點
● __(45)__不是總監理工程師代表可以行使的職責。
(45)A.負責項目日常監理工作
B.調換不稱職的監理人員
C.主持編寫并簽發監理周報
D.參與工程質量事故的調查
● 下列因素對信息系統工程的質量產生負面影響相對較小的是__(46)__ 。
(46)A.工程投資相對較高
B.項目經理工程經驗較少
C.項目實施人員流動頻繁
D.系統變更調整較為隨意
● 監理在設計階段常選用的質量控制措施不包括__(47)__ 。
(47)A.組織設計交底會
B.審查關鍵部位測試方案
C.協助建設單位制定項目質量目標規劃
D.協助建設單位提出工程需求方案,確定工程的整體質量目標
● 下圖為用以展現進度的香蕉曲線圖,圖中曲線A為最早時間計劃,曲線B為最遲時間計劃,曲線C、D、E、F為實際進度,__(48)__表示延期。

(48)A.C
B.D
C.E
D.F
● 下列說法錯誤的是__(49)__ 。
(49)A.工程進度曲線可用于觀測關鍵路徑上的關鍵作業
B.工程施工進度曲線的切線斜率即為施工進度速度
C.進度曲線比甘特圖更容易表示出實際進度較計劃進度超前或延遲的程度
D.工程施工進度曲線圖無法表示某進度條件下的所需資源
● 網絡圖是由箭線和節點組成,用來表示工作流程的有向網狀圖形。在單代號圖中,箭線表示__(50)__ 。
(50)A.工作或事件
B.工作持續時間
C.工作之間的邏輯關系
D.工作的開始或結束狀及工作之間的連接點
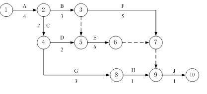
● 下圖(雙代號網絡計劃)的關鍵路徑時間為__(51)__天。

(51)A.13
B.14
C.15
D.11
● 根據《電子政務工程建設項目管理暫行辦法》,項目初步設計方案和投資概算報告的編制內容,與項目可行性研究報告批復內容有重大變更或變更投資超出已批復總投資額度__(52)__的,應重新報批可行性研究報告。
(52)A.1%
B.5%
C.10%
D.15%
● 單方案經濟評價過程中,下列情況中__(53)__可作為判斷其經濟方案合理的依據。
(53)A.靜態成本回收期大于或部門所規定的標準成本回收期
B.內部收益率大于基準收益率
C.等效年值小于零
D.凈現值小于零
● 在現金流入量基本確定的情況下,能夠較好體現資金機會成本的分析指標是__(54)__ 。
(54)A.內含報酬率
B.凈現值
C.現值指數
D.敏感性
● 在信息工程項目投資構成中,驗收測試費屬于__(55)__ 。
(55)A.工程費
B.工程管理費
C.風險費用
D.第三方測試費
● 下列情況中,工程變更申請不合理的是__(56)__ 。
(56)A.建設方在建設過程中發現合同約定的采購產品降價,提出成本變更申請
B.監理方在監理過程中發現前期設計缺陷,提出設計變更申請
C.建設方在實施過程中發生機構改革,提出需求變更申請
D.承建方在實施過程中因不可抗力,提出進度變更申請
● 在變更控制工作程序中,應在__(57)__時提交工程變更建議書。
(57)A.了解變化
B.接受變更申請
C.變更的初審
D.變更分析
● 面向對象分析與設計中, __(58)__是類的一個實例。
(58)A.對象
B.接口
C.構件
D.設計模式
● 關于監理變更控制的工作程序,下列說法錯誤的是__(59)__ 。
(59)A.工程變更建議書應在預計可能變更的時間之前14天提出
B.監理工程師簽發項目變更單后,承建單位即可實施項目變更
C.監理應就項目變更費用及工期的評估情況與建設方、承建方進行協調
D.應由經總監理工程師授權的監理變更控制小組負責處理變更事宜
● 當合同中未對違約條款做出相應規定時,下列情況__(60)__不屬于違約。
(60)A.承建單位擅自調換工程技術人員,但未對建設方造成經濟損失
B.建設單位因政策變更而終止合同履行
C.建設單位因未按規定支付進度款而造成的承建方停工
D.因承建單位破產而終止合同履行
● 計算機軟件的著作權未在合同中進行明確,則委托方享有軟件的__(61)__ 。
①使用權 ②復制權 ③展覽權 ④發行權
(61)A.①②③④
B.①②④
C.①②
D.①
● 關于分包合同的簽訂,下列說法錯誤的是__(62)__ 。
(62)A. 分包項目必須經過建設單位同意
B. 信息系統工程主體結構的實施必須由承建單位自行完成
C. 主體結構分包簽訂的合同屬于無效合同
D. 分包單位可以將自己承包的部分項目分包給具有資質條件的分承建單位
● 信息系統安全管理體系中,數據安全的目標不包括__(63)__ 。
(63)A.防止數據丟失
B.防止數據崩潰
C.防止系統之間數據通信的安全脆弱性威脅
D.防止數據被非法訪問
● 下列關于監理設置質量控制點的說法,錯誤的是( )。
(64)A.質量控制點的設置應相對靈活,可根據實際情況進行調整和增減
B.由監理自行設定質量控制點時,無需與承建單位進行商定
C.質量控制點應設置在工程質量目標偏差易于測定的關鍵處
D.質量控制點的設置應利于監理工程師及時發現質量偏差
● 監理在協助建設單位制定安全管理制度過程中,應遵循的原則是 __(65)__ 。
(65)A.授權最小化
B.授權集中化
C.授權隱蔽化
D.授權個性化
● 按照工程建設信息的用途劃分,工程結算簽證屬于 __(66)__ 。
(66)A.辨識信息
B.工程驗收階段信息
C.文字信息
D.投資控制信息
● 工程監理在協助建設單位制定安全管理制度過程中驗收報告主體內容應包括__(67)__ 。
(67)A.工程建設情況總結
B.工程驗收測試結論與分析
C.工程監理執行情況總結
D.工程建設過程及成果
● 根據《電子政務工程項目檔案管理暫行辦法》,下列文檔中,__(68)__不必列入電子政務驗收文檔范圍。
(68)A.中標通知書
B.未中標的投標文件
C.工程批復
D.承建單位內部管理文件
● 在監理組織協調過程中,以下行為,__(69)__不能夠較好體現公平、公正、獨立的原則。
(69)A.監理單位不能同時既做信息系統工程的監理,又做系統集成業務
B.處理監理業務一定要有可靠的依據和憑證
C.遵守建設方的有關行政管理、經濟管理、技術管理等規章制度及要求
D.處理實際監理事務中,要有大局觀,要全面地分析和思考
● 以下做法正確的是__(70)__ 。
(70)A.承建單位要求項目暫停實施,總監理工程師簽發“停工令”
B.由于出現項目質量問題,必須進行停工處理,總監理工程師簽發“停工令”
C.發生必須暫停實施的緊急事件,總監理工程師代表簽發“停工令”
D.發生需要停工事件,但建設方暫不允許項目暫停,總監理工程師不簽發“停工令”
● Which statement about the preliminary design stage of a software development project is true? __(71)__ .
(71)A.The preliminary design is an internal document used only by programmers
B.The preliminary design is the result of mapping product requirements info software and hardware functions
C.The preliminary design of the product comes from the requirement specification
D.The developers produce the preliminary design by defining the software structure in enough detail to permit coding
● You are a project manager for a small project. Your project was budgeted for ¥500,000 over a six-week period. As of today, you’ve spent ¥260,000 of your budget to complete work that you originally expected to cost ¥280,000. According to your schedule, you should have spent ¥300,000 by this point. Based on these circumstances, your project could be BEST described as __(72)__ .
(72)A.Ahead of schedule
B.Behind schedule
C.On schedule
D.Having not enough information provided
● Sub-contractors should obey the contractor in information system project. When censoring sub-contractors, the supervisor mostly concerns about __(73)__.
(73)A.Amount of subcontract
B.qualifications and abilities of sub-contractors
C.responsibilities and obligations of sub-contractors
D.the contents of the subcontract
● A work breakdown structure (WBS) is a tool used to define and group a project’s discrete work elements in a way that helps organize and define the total work scope of the project. A WBS is most useful for__(74)__.
(74)A.identifying individual tasks for a project
B.scheduling the start of tasks
C.scheduling the end of tasks
D.determining potential delays
● 10BaseT is an Ethernet LAN term meaning a maximum transfer rate of 10Mbps that uses baseband signaling and twisted pair cabling. A 10BaseT Ethernet LAN has a __(75)__ topology.
(75)A.star
B.ring
C.bus
D.none of the above
軟考備考資料免費領取
去領取
專注在線職業教育25年