摘要:希賽網為廣大考生整理了2010年軟件評測師考試真題,以下為上午綜合知識部分,供大家參考學習。
希賽網為廣大考生整理了2010年軟件評測師考試真題,以下為上午綜合知識部分,供大家參考學習。
●在輸入輸出控制方法中,采用__(1)__可以使得設備與主存間的數據塊傳送無需CPU干預。
(1)A.程序控制輸入輸出
B.中斷
C.DMA
D.總線控制
●若某計算機采用8位整數補碼表示數據,則運算__(2)__將產生溢出。
(2)A.127+1
B.-127-1
C.-127+1
D.127-1
●若內存容量為4GB,字長為32,則__(3)__。
(3)A.地址總線和數據總線的寬度都為32
B.地址總線的寬度為30,數據總線的寬度為32
C.地址總線的寬度為30,數據總線的寬度為8
D.地址總線的寬度為32,數據總線的寬度為8
●設用2K×4位的存儲器芯片組成16K×8位的存儲器(地址單元為0000H~3FFFH,每個芯片的地址空間連續),則地址單元0B1FH所在芯片的最小地址編號為__(4)__。
(4)A.0000H
B.2800 H
C.2000 H
D.0800 H
●編寫匯編語言程序時,下列寄存器中程序員可訪問的是__(5)__。
(5)A.存儲器地址寄存器(MAR)
B.指令寄存器(IR)
C.存儲器數據寄存器(MDR)
D.程序計數器(PC)
●CMM對軟件測試沒有提供單獨的關鍵過程領域(KPA),所以許多研究機構和測試服務機構從不同角度出發提出有關軟件測試方面的能力成熟度模型,其中軟件測試成熟度模型(TMM)是當前影響力最大的軟件測試過程模型。TMM制定了五個成熟度等級,它們依次是:初始級,階段定義級,集成級,管理和度量級,__(6)__。
(6)A.優化、缺陷預防和可重復級
B.優化、缺陷預防和質量控制級
C.缺陷預防和質量控制級
D.優化和質量控制級
●以下關于軟件生命周期的敘述不正確的是__(7)__。
(7)A.軟件生命周期包括以下幾個階段:項目規劃、需求定義和需求分析、軟件設計、程序編碼、軟件測試、運行維護
B.程序編碼階段是將軟件設計的結果轉換成計算機可運行的程序代碼。為了保證程序的可讀性、易維護性和提高程序的運行效率,可以通過在該階段中制定統一并符合標準的編寫規范來使編程人員程序設計規范化
C.軟件設計階段主要根據需求分析的結果,對整個軟件系統進行設計,如系統框架設計,數據庫設計等
D.需求分析階段對軟件需要實現的各個功能進行詳細分析。軟件需求一旦確定,在整個軟件開發過程就不能再變化,這樣才能保證軟件開發的穩定性,并控制風險
●在軟件工程中,不屬于軟件定義階段的任務是__(8)__。
(8)A.制定驗收測試計劃
B.制定集成測試計劃
C.需求分析
D.制定軟件項目計劃
●軟件設計階段一般又可分為__(9)__。
(9)A.邏輯設計與功能設計
B.概要設計與詳細設計
C.概念設計與物理設計
D.模型設計與程序設計
●程序描述語言(PDL)是軟件開發過程中用于__(10)__階段的描述工具。
(10)A.需求分析
B.概要設計
C.詳細設計
D.編程
●軟件測試的目的是__(11)__。
(11)A.試驗性運行軟件
B.找出軟件中全部錯誤
C.證明軟件正確
D.發現軟件錯誤
●按照測試實施組織,可將測試劃分為開發方測試、用戶測試、第三方測試。下面關于開發方測試的描述正確的是__(12)__。
①開發方測試通常也叫“驗證測試”或“Alpha測試”
②開發方測試又稱“Beta測試”
③開發方測試可以從軟件產品編碼結束之后開始,或在模塊(子系統)測試完成后開始,也可以在確認測試過程中產品達到一定的穩定和可靠程度之后再開始
④開發方測試主要是把軟件產品有計劃地免費分發到目標市場,讓用戶大量使用,并評價、檢查軟件
(12)A.②③
B.①③
C.②④
D.①②③
●黑盒測試法是根據產品的__(13)__來設計測試用例的。
(13)A.功能
B.輸入數據
C.應用范圍
D.內部邏輯
●軟件生命周期中持續時間最長的是__(14)__階段。
(14)A.需求分析
B.程序編碼
C.軟件測試
D.軟件運行維護
●軟件工程概念的提出是由于__(15)__。
(15)A.計算技術的發展
B.軟件危機的出現
C.程序設計方法學的影響
D.其它工程科學的影響
●關系數據庫管理系統應能實現的專門關系運算包括__(16)__。
(16)A.選擇、索引、統計
B.選擇、投影、連接
C.關聯、更新、排序
D.顯示、打印、制表
●為了使軟件測試更加高效,應遵循的原則包括__(17)__。
①所有的軟件測試都應追溯到用戶需求、充分注意缺陷群集現象
②盡早地和不斷地進行軟件測試、回歸測試
③為了證明程序的正確性,盡可能多的開發測試用例
④應由不同的測試人員對測試所發現的缺陷進行確認
⑤增量測試,由小到大
(17)A.①②③④
B.①③④⑤
C.②③④
D.①②④⑤
●軟件測試信息流的輸入包括__(18)__。
①軟件配置(包括軟件開發文檔、目標執行程序、數據結構)
②開發工具(開發環境、數據庫、中間件等)
③測試配置(包括測試計劃、測試用例、測試驅動程序等)
④測試工具(為提高軟件測試效率,使用測試工具為測試工作服務)
(18)A.①②③④
B.①②④
C.①③④
D.②③④
●ISO/IEC 9126《軟件工程產品質量》統一了多種質量模型。其中,下述關于軟件使用質量描述,不正確的是__(19)__。
(19)A.它測量用戶在特定環境中能達到其目標的程度,不是測量軟件自身的屬性
B.使用質量的屬性分為四個特性:有效性,生產率,安全性和滿意度
C.使用質量是基于用戶、開發者、維護者觀點的質量
D.使用質量的獲得依賴于取得必需的外部質量,而外部質量的獲得則依賴于取得必需的內部質量
●V模型描述了軟件基本的開發過程和測試行為,描述了不同測試階段與開發過程各階段的對應關系。其中,集成測試階段對應的開發階段是__(20)__。
(20)A.需求分析階段
B.概要設計階段
C.詳細設計階段
D.編碼階段
●下面關于軟件測試模型的描述中,不正確的包括__(21)__。
①V模型的軟件測試策略既包括低層測試又包括了高層測試,高層測試是為了源代碼的正確性,低層測試是為了使整個系統滿足用戶的需求
②V模型存在一定的局限性,它僅僅把測試過程作為在需求分析、概要設計、詳細設計及編碼之后的一個階段
③W模型可以說是V模型自然而然的發展。它強調:測試伴隨著整個軟件開發周期,而且測試的對象不僅僅是程序,需求、功能和設計同樣要測試
④H模型中軟件測試是一個獨立的流程,貫穿產品整個生命周期,與其他流程并發地進行
⑤H模型中測試準備和測試實施緊密結合,有利于資源調配
(21)A.①⑤
B.②④
C.③④
D.②③
●程序設計語言一般可劃分為低級語言和高級語言兩大類,與高級語言相比,用低級語言開發的程序具有__(22)__等特點。
(22)A.開發效率低,運行效率低
B.開發效率高,運行效率低
C.開發效率低,運行效率高
D.開發效率高,運行效率高
●廣義的軟件測試由“確認”、“驗證”、“測試”3個方面組成,其中“確認”是__(23)__。
(23)A.想證實在一個給定的外部環境中軟件的邏輯正確性,檢查軟件在最終的運行環境上是否達到預期的目標
B.檢測軟件開發的每個階段、每個步驟的結果是否正確無誤,是否與軟件開發各階段的要求或期望的結果相一致
C.檢查某樣東西是否符合事先已定好的標準
D.試圖證明軟件在軟件生命周期各個階段以及階段間的邏輯協調性、完備性和正確性
●與設計測試用例無關的文檔是__(24)__。
(24)A.項目開發計劃
B.需求規格說明書
C.設計說明書
D.源程序
●白盒測試也稱結構測試或邏輯驅動測試,典型的白盒測試方法包括靜態測試和動態測試。其中,靜態測試除了靜態結構分析法、靜態質量度量法外,還有__(25)__。
(25)A.代碼檢查法
B.邏輯覆蓋法
C.基本路徑測試法
D.結構覆蓋法
●結構化分析(Structured Analysis,簡稱SA)是面向數據流的需求分析方法,__(26)__不屬于SA工具。
(26)A.分層的數據流圖
B.數據詞典
C.問題分析圖
D.描述加工邏輯的結構化語言、判定表或判定樹
●螺旋模型綜合了__(27)__的優點,并增加了這兩種模型忽略的風險分析。
(27)A.瀑布模型和演化模型
B.瀑布模型和噴泉模型
C.演化模型和噴泉模型
D.原型和噴泉模型
●軟件評審作為質量控制的一個重要手段,已經被業界廣泛使用。評審分為內部評審和外部評審。關于內部評審的敘述,正確的包括__(28)__。
①對軟件的每個開發階段都要進行內部評審
②評審人員由軟件開發組、質量管理和配置管理人員組成,也可邀請用戶參與
③評審人數根據實際情況確定,比如根據軟件的規模等級和安全性等級等指標而定
④內部評審由用戶單位主持,由信息系統建設單位組織,應成立評審委員會
(28)A.①②④
B.①②③
C.②③④
D.①②③④
●軟件質量保證的主要目標不包括__(29)__。
(29)A.通過預防、檢查與改進來保證軟件質量
B.保證開發出來的軟件和軟件開發過程符合相應標準與規程
C.收集軟件產品、軟件過程中存在的不符合項,在項目總結時進行分析
D.確保項目組制定的計劃、標準和規程適合項目需要,同時滿足評審和審計需要
●軟件設計要遵循的基本原則包括__(30)__。
①模塊化②抽象③封裝④信息隱蔽
(30)A.①②③④
B.①②④
C.②③④
D.①②③
●關于軟件質量,__(31)__的敘述是正確的。
①軟件滿足規定或潛在用戶需求特性的總和
②軟件特性的總和,軟件滿足規定用戶需求的能力
③是關于軟件特性具備“能力”的體現
④軟件質量包括“代碼質量”、“外部質量”和“使用質量”三部分
(31)A.①③
B.①②
C.②③
D.②④
●關于軟件測試與質量保證,正確的理解的是__(32)__。
(32)A.軟件測試關注的是過程中的活動,軟件質量保證關注的是過程的產物
B.軟件測試不是軟件質量保證工作中的內容
C.軟件測試是軟件質量保證的重要手段
D.軟件質量保證人員就是軟件測試人員
●__(33)__不是正確的軟件測試目的。
(33)A.盡最大的可能找出最多的錯誤
B.設計一個好的測試用例對用戶需求的覆蓋度達到100%
C.對軟件質量進行度量和評估,以提高軟件的質量
D.發現開發所采用的軟件過程的缺陷,進行軟件過程改進
●設計功能測試用例的根本依據是__(34)__。
(34)A.用戶需求規格說明書
B.用戶手冊
C.被測產品的用戶界面
D.概要設計說明書
●關于軟件測試與軟件開發的認識,不正確的是__(35)__。
(35)A.軟件生命周期各個階段都可能產生錯誤
B.軟件測試是獨立于軟件開發的一個工作
C.軟件開發的需求分析和設計階段就應開始測試工作
D.測試越早進行,越有助于提高被測軟件的質量
●軟件測試原則中指出“完全測試是不可能的”,主要原因是__(36)__。
(36)A.輸入量太大、輸出結果太多以及路徑組合太多
B.自動化測試技術不夠完善
C.測試的時間和人員有限
D.僅僅靠黑盒測試不能達到完全測試
●產品的功能性測試的內容不包括__(37)__。
(37)A.適合性
B.易用性
C.正確性
D.互操作性
●以下關于設計功能測試用例的敘述,__(38)__是不正確的。
(38)A.盡量用80%測試用例覆蓋20%的核心業務模塊
B.功能測試用例中不包括功能的依從性測試用例
C.功能測試用例中包括業務流,也包括測試數據
D.功能測試用例的設計應注意缺陷群集現象
●以下不屬于軟件測試對象的有__(39)__項。
①需求規格說明書②軟件的程序模塊
③概要設計說明書與詳細設計說明書④軟件的用戶手冊
(39)A.2
B.3
C.4
D.0
●以下關于不同類型軟件測試的敘述,正確的是__(40)__。
(40)A.單元測試不是模塊測試
B.多個模塊不能平行地獨立進行測試,應該順序執行
C.系統測試是檢驗程序單元或部件之間的接口關系
D.確認測試是通過檢驗和/或核查所提供的客觀證據,證實軟件是否滿足特定預期用途的需求
●以下關于白盒測試和黑盒測試的理解,正確是__(41)__。
(41)A.白盒測試通過對程序內部結構的分析、檢測來尋找問題
B.白盒測試通過一些表征性的現象、事件、標志來判斷內部的運行狀態
C.單元測試可應用黑盒測試方法,集成測試則采用白盒測試方法
D.在軟件生命周期各個階段都需要用白盒測試方法
●V模型是具有代表意義的測試模型,以下理解正確的是__(42)__。
(42)A.V模型認為測試階段是與開發階段并行的
B.V模型是軟件開發螺旋模型的變種,它反映了測試活動與分析和設計的關系
C.V模型造成需求分析階段隱藏的問題一直到后期的驗收測試才被發現
D.V模型是對W模型的改進
●網絡殺毒軟件廠商已經開始使用數據庫技術和LDAP技術進行策略日志存儲和用戶管理,這里LDAP指的是__(43)__。
(43)A.輕量目錄訪問協議
B.本地目錄訪問協議
C.輕量數據訪問協議
D.本地數據訪問協議
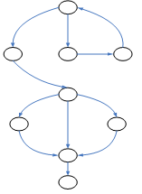
●計算以下控制流程圖的環路復雜性V(G),正確答案是__(44)__。

(44)A.V(G)=2
B.V(G)=4
C.V(G)=9
D.V(G)=11
●對需求說明書評測的內容包括__(45)__。
①系統定義的目標是否與用戶的要求一致
②被開發項目的數據流與數據結構是否足夠、確定
③與所有其它系統交互的重要接口是否都已經描述
④主要功能是否已包含在規定的軟件范圍之內,是否都已充分說明
⑤確認軟件的內部接口與外部接口是否已明確定義
(45)A.①③⑤
B.②③⑤
C.①②④⑤
D.①②③④
●加密和解密是明文和密文之間的可逆轉換,__(46)__不屬于加密算法。
(46)A.RSA
B.SHA
C.DES
D.AES
●假設A、B為布爾變量,對于邏輯表達式(A&&B||C),需要__(47)__個測試用例才能完成判定覆蓋(DC)。
(47)A.2
B.3
C.4
D.5
●以下關于匯編語言的敘述中,錯誤的是__(48)__。
(48)A.匯編語言源程序中的指令語句將被翻譯成機器代碼
B.匯編語言的指令語句必須具有操作碼字段,可以沒有操作數字段
C.匯編程序以匯編語言源程序為輸入,以機器語言表示的目標程序為輸出
D.匯編程序先將源程序中的偽指令翻譯成機器代碼,然后再翻譯指令語句
●設有學生實體Students(學號,姓名,性別,年齡,家庭住址,家庭成員,關系,聯系電話),其中“家庭住址”記錄了郵編、省、市、街道信息;“家庭成員,關系,聯系電話”分別記錄了學生親屬的姓名、與學生的關系以及聯系電話。
學生實體Students中的“家庭住址”是一個__(49)__屬性;為使數據庫模式設計更合理,對于關系模式Students__(50)__。
(49)A.簡單
B.多值
C.派生
D.復合
(50)A.可以不作任何處理,因為該關系模式達到了3NF
B.只允許記錄一個親屬的姓名、與學生的關系以及聯系電話的信息
C.應該將家庭成員、關系及聯系電話加上學生號,設計成為一個獨立的實體
D.需要對關系模式Students增加若干組家庭成員、關系及聯系電話字段
●有關評估系統效率質量特性,以下論述正確的是__(51)__。
(51)A.響應時間越長,系統執行效率越高
B.響應時間和交易執行吞吐量都是用來衡量系統執行快慢的
C.響應時間越短,交易執行吞吐量越大
D.系統的訪問量越大,交易執行吞吐量越大
●__(52)__不屬于易用性測試范疇。
(52)A.軟件產品使用戶能理解軟件是否合適以及如何能將軟件用于特定的任務和使用條件的能力
B.軟件產品使用戶能操作和控制它的能力
C.對軟件中的缺陷或失效原因進行診斷,或識別待修改部分的能力
D.軟件產品吸引用戶的能力
●以下關于軟件系統安全防護策略的敘述,不正確的是__(53)__。
(53)A.網閘的主要目的是實現內網和外網的物理隔離
B.防火墻的主要目的是實現內網和外網的邏輯隔離
C.入侵檢測系統通常部署在防火墻之外
D.安全日志屬于被動防護策略
●假設在程序控制流圖中,有14條邊,10個節點,則控制流程圖的環路復雜性V(G)等于是__(54)__。
(54)A.12
B.8
C.6
D.4
●目前信息系統所使用的主要用戶認證機制,身份識別標識不包括__(55)__。
(55)A.指紋
B.智能卡
C.數字證書
D.身份證號碼
●針對以下C語言程序段,假設sta[10]=-1,對于x的取值,需要__(56)__個測試用例能夠滿足分支覆蓋的要求。
int MathMine(int x)
{
int m=0;
int i;
for(i=x-1;i<=x+1;i++)
{
if(i<0)continue;
if(i<31)break;
if(sta<i>==-1)m++;
}
return m;
}
(56)A.3
B.4
C.5
D.6
●以下關于信息安全的敘述,不正確的是__(57)__。
(57)A.SYN洪水攻擊通過發送大量TCP連接請求以占滿網絡帶寬,使其他用戶無法正常連接服務
B.緩沖區溢出攻擊能通過修改函數返回地址并執行惡意代碼,進而獲得系統的控制權
C.計算機病毒的主要特征包括破壞性、寄生性、自我復制能力和傳染能力
D.會話標識和時間戳都是抵御重演攻擊的有效技術
●軟件測試使用各種術語描述軟件出現的問題,以下敘述正確的是__(58)__。
(58)A.軟件錯誤(error)是指在軟件生命周期內的不希望或不可接受的人為錯誤,其結果是導致軟件故障的產生
B.軟件缺陷(defect)是存在于軟件(文檔、數據、程序)之中的那些不希望或不可接受的偏差
C.軟件故障(fault)是指軟件運行過程中出現的一種不希望或不可接受的外部狀態
D.軟件失效(failure)是指軟件運行時產生的一種不希望或不可接受的內部行為結果
●網絡測試不能解決的問題是__(59)__。
(59)A.連通性
B.丟包
C.全表掃描
D.延遲
●關于bug管理流程,__(60)__是正確的做法。
(60)A.開發人員提交新的bug入庫,設置狀態為“New”
B.開發人員確認是bug,設置狀態為“Fixed”
C.測試人員確認問題解決了,設置狀態為“Closed”
D.測試人員確認不是bug,設置狀態為“Reopen”
●__(61)__是當前自動化測試技術不能解決的問題。
(61)A.保證測試質量
B.提高測試效率
C.排除手工操作錯誤
D.降低測試用例設計的難度
●GB/T 18905.5《軟件工程產品評價》中,分別規定了開發者用、需方用、評價者用的過程,以下理解正確的是__(62)__。
(62)A.計劃開發新產品的廠商,該標準中規定不允許利用他們自己的技術人員進行產品評價
B.軟件產品的一般評價過程是:確立評價需求,規定、設計和執行評價
C.該標準不適用于對軟件產品執行獨立評估的第三方評測機構
D.該標準可用來決定從眾多可選產品中選擇某個產品,但該產品不可以是較大產品的一部分
●軟件測評相關的標準一般可以分為國際標準、標準、行業標準以及企業標準。一般情況下,技術要求較高的是__(63)__。
(63)A.國際標準
B.標準
C.行業標準
D.企業標準
●為驗證某呼叫中心是否能夠承受大量呼叫信息同時呼入并得到正確處理,測試工程師一般采用__(64)__測試工具。
(64)A.負載壓力
B.代碼
C.網絡仿真
D.故障診斷
●關于軟件測試過程中的配置管理,__(65)__是不正確的表述。
(65)A.測試活動的配置管理屬于整個軟件項目配置管理的一部分
B.軟件測試配置管理包括4個基本的活動:配置項變更控制、配置狀態報告、配置審計、配置管理委員會建立
C.配置項變更控制要規定測試基線,對每個基線進行描述
D.配置狀態報告要確認過程記錄、跟蹤問題報告、更改請求以及更改次序等
●測試成本控制的目標是使測試開發成本、測試實施成本和測試維護成本最小化,以下理解正確的是__(66)__。
(66)A.測試準備成本屬于測試執行成本
B.可以通過加強軟件測試的配置管理來降低測試維護成本
C.測試設計成本控制的目標是盡可能地減少測試總執行時間和所需的測試專用設備
D.回歸測試將測試案例全部重新執行一遍,可以將測試維護成本降至最低
●以下關于缺陷探測率(DDP)的表述,不正確的是__(67)__。
(67)A.DDP是一個衡量測試工作效率的軟件質量成本指標
B.缺陷探測率越高,也就是測試者發現的錯誤越多,發布后客戶發現的錯誤才可能越少
C.DDP是衡量測試投資回報的一個重要指標
D.測試周期越長,缺陷探測率就會越高
●在一個完整的功能測試過程中,__(68)__不屬于應該編寫的測試文檔。
(68)A.測試需求文檔
B.測試用例文檔
C.測試標準
D.問題報告單
●性能測試過程中需要對數據庫服務器的資源使用進行監控,__(69)__不屬于應該監控的的指標。
(69)A.CPU占用率
B.可用內存數
C.點擊率
D.緩存命中率
●J2EE系統架構被各種信息系統普遍采用,__(70)__不屬于其服務器端應用組件。
(70)A.Servlet
B.JSP
C.EJB
D.Applet
●People are indulging in an illusion whenever they find themselves explaining at a cocktail(雞尾酒)party,say,that they are"in computers,"or"in telecommunications,"or"in electronic funds transfer".The implication is that they are part of the high-tech world.Just between us,they usually aren’t.The researchers who made fundamental breakthroughs in those areas are in a high-tech business.The rest of us are __(71)__of their work.We use computers and other new technology components to develop our products or to organize our affairs.Because we go about this work in teams and projects and other tightly knit working groups(緊密聯系在一起的工作小組),we are mostly in the human communication business.Our successes stem from good human interactions by all participants in the effort,and our failures stem from poor human interactions.
The main reason we tend to focus on the __(72)__rather than the human side of the work is not because it’s more __(73)__,but because it’s easier to do.Getting the new disk drive installed is positively trivial compared to figuring out why Horace is in a blue funk(恐懼)or why Susan is dissatisfied with the company after only a few months.Human interactions are complicated and never very crisp(干脆的,干凈利落的)and clean in their effects,but they matter more than any other aspect of the work.
If you find yourself concentrating on the __(74)__rather than the__(75)__,you’re like the vaudeville character(雜耍人物)who loses his keys on a dark street and looks for them on the adjacent street because,as he explains,"The light is better there!".
(71)A.creators
B.innovators
C.appliers
D.inventors
(72)A.technical
B.classical
C.social
D.societal
(73)A.trivial
B.crucial
C.minor
D.insignificant
(74)A.technology
B.sociology
C.physiology
D.astronomy
(75)A.technology
B.sociology
C.physiology
D.astronomy
軟考備考資料免費領取
去領取
專注在線職業教育25年