摘要:以下為希賽網整理的2009下半年信息系統項目管理師考試上午真題,供大家參考學習。
●一般可以將信息系統的開發分成5個階段,即總體規劃階段、系統分析階段、系統設計階段、系統實施階段、系統運行和評價階段,在各個階段中工作量最大的是__(1)__。在每個階段完成后都要向下一階段交付一定的文檔,__(2)__是總體規劃階段交付的文檔。
(1)A.總體規劃階段
B.系統分析階段
C.系統設計階段
D.系統實施階段
(2)A.系統方案說明書
B.系統設計說明書
C.用戶說明書
D.可行性研究報告
●結構化系統分析和設計的主導原則是__(3)__。
(3)A.自底向上
B.集中
C.自頂向下
D.分散平行
●根據信息服務對象的不同,企業中的管理希賽網系統屬于__(4)__。
(4)A.面向決策計劃的系統
B.面向管理控制的系統
C.面向作業處理的系統
D.面向具體操作的系統
●在信息系統中,信息的處理不包括__(5)__。
(5)A.信息的輸入
B.信息的刪除
C.信息的修改
D.信息的統計
●下表是關于ERP的典型觀點,綜合考慮該表中列出的各種因素,選項__(6)__代表的觀點是正確的。

(6)A.①、③、⑤、⑦
B.②、④、⑥、⑧
C.①、③、⑥、⑧
D.②、③、⑤、⑦
●在軟件需求分析過程中,分析員要從用戶那里解決的最重要的問題是__(7)__。
(7)A.要求軟件做什么
B.要給軟件提供哪些信息
C.要求軟件工作效率如何
D.要求軟件具有什么樣的結構
●在描述復雜關系時,圖形比文字敘述優越得多,下列四種圖形工具中,不適合在需求分析階段使用的是__(8)__。
(8)A.層次方框圖
B.用例圖
C.IPO圖
D.N_S圖
●以下關于數據庫設計中范式的敘述,不正確的是__(9)__。
(9)A.范式級別越高,數據冗余程度越小
B.隨著范式級別的提高,在需求變化時數據的穩定性越強
C.范式級別越高,存儲同樣的數據就需要分解成更多張表
D.范式級別提高,數據庫性能(速度)將下降
●__(10)__表達的不是類之間的關系。
(10)A.關聯
B.依賴
C.創建
D.泛化
●以下關于UML的敘述,錯誤的是__(11)__。
(11)A.UML是一種面向對象的標準化的統一建模語言
B.UML是一種圖形化的語言
C.UML不能獨立于系統開發過程
D.UML還可以處理與軟件的說明和文檔相關的問題,如需求說明等
●根據《GB/T 16680-1996軟件文檔管理指南》的描述,軟件文檔的作用不包括__(12)__。
(12)A.管理依據
B.任務之間聯系的憑證
C.歷史檔案
D.記錄代碼的工具
●《GB/T 16260-1996信息技術軟件產品評價質量特性及其使用指南》中對軟件的質量特性做出了描述,以下描述錯誤的是__(13)__。
(13)A.可靠性是指與在規定的時間和條件下,軟件維持其性能水平的能力有關的一組屬性
B.易用性是指與一組規定或潛在的用戶為使用軟件所需作的努力和對這樣的使用所作的評價有關的一組屬性
C.可移植性是指與進行指定的修改所需作的努力有關的一組屬性
D.效率是指與在規定的條件下,軟件的性能水平與所使用資源量之間關系有關的一組屬性
●根據《GB/T 12504-90計算機軟件質量保證計劃規范》的規定,為了確保軟件的實現滿足需求,需要的基本文檔不包括__(14)__。
(14)A.軟件需求規格說明書
B軟件界面設計說明書
C.軟件驗證和確認報告
D.用戶文檔
●需要時,授權實體可以訪問和使用的特性”指的是信息安全的__(15)__。
(15)A.保密性
B.完整性
C.可用性
D.可靠性
●__(16)__不是超安全的信息安全保障系統(S2-MIS)的特點或要求。
(16)A.硬件和系統軟件通用
B.PKI/CA安全保障系統必須帶密碼
C.業務應用系統在實施過程中有重大變化
D.主要的硬件和系統軟件需要PKI/CA認證
●信息安全從社會層面來看,反映在__(17)__這三個方面。
(17)A.網絡空間的冪結構規律、自主參與規律和沖突規律
B.物理安全、數據安全和內容安全
C.網絡空間中的輿論文化、社會行為和技術環境
D.機密性、完整性、可用性
●在X.509標準中,數字證書一般不包含__(18)__。
(18)A.版本號
B.序列號
C.有效期
D.密鑰
●應用__(19)__軟件不能在Windows環境下搭建WEB服務器。
(19)A.IIS
B.Serv-U
C.WebSphere
D.WebLogic
●下列接入網類型和相關技術的術語中,對應關系錯誤的是__(20)__。
(20)A.ADSL-對稱數字用戶環路
B.PON-無源光網絡
C.CDMA-碼分多址
D.VDSL-甚高速數字用戶環路
●__(21)__不屬于網絡存儲結構或方式。
(21)A.直連式存儲
B.哈希散列表存儲
C.網絡存儲設備
D.存儲網絡
●__(22)__不是結構化綜合布線的優點。
(22)A.有利于不同網絡協議間的轉換
B.移動、增加和改變配置容易
C.單點故障隔離
D.網絡管理簡單易行
●ADSL Modem和HUB使用雙絞線進行連接時,雙絞線兩端的RJ45端頭需要__(23)__。
(23)A.兩端都按568A線序制作
B.兩端都按568B線序制作
C.一端按568A線序制作,一段按568B線序制作
D.換成RJ11端頭才能進行連接
●下列技術規范中,__(24)__不是軟件中間件的技術規范。
(24)A.EJB
B.COM
C.TPM標準
D.CORBA
●以下關于.NET的描述,錯誤的是__(25)__。
(25)A.Microsoft.NET是一個程序運行平臺
B..NET Framework管理和支持.NET程序的執行
C.Visual Studio.NET是一個應用程序集成開發環境
D.編譯.NET時,應用程序被直接編譯成機器代碼
●形成Web Service架構基礎的協議不包括__(26)__。
(26)A.SOAP
B.DHCP
C.WSDL
D.UDDI
●以下有關Web Service技術的示例中,產品和語言對應關系正確的是__(27)__。
(27)A..NET Framework-C#
B.Delphi6-Pascal
C.WASP-C++
D.GLUE-JAVA
●委托開發完成的發明創造,除當事人另有約定的以外,申請專利的權利屬于__(28)__所有。
(28)A.完成者
B.委托開發人
C.開發人與委托開發人共同
D.
●在投標文件的報價單中,如果出現總價金額和分項單價與工程量乘積之和的金額不一致時,應當__(29)__。
(29)A.以總價金額為準,由評標委員會直接修正即可
B.以總價金額為準,由評標委員會修正后請該標書的投標授權人予以簽字確認
C.以分項單價與工程量乘積之和為準,由評標委員會直接修正即可
D.以分項單價與工程量乘積之和為準,由評標委員會修正后請該標書的投標授權人予以簽字確認
●下列描述中,__(30)__不是《中華人民共和國招投標法》的正確內容。
(30)A.招標人采用公開招標方式的,應當發布招標公告。
B.招標人采用邀請招標方式的,應當向三個以上具備承擔招標項目的能力、資信良好的特定的法人或者其他組織發出投標邀請書。
C.投標人報價不受限制
D.中標人不得向他人轉讓中標項目,也不得將中標項目肢解后分別同他人轉讓。
●項目經理為了有效管理項目需掌握的軟技能不包括__(31)__。
(31)A.有效的溝通
B.激勵
C.領導能力
D.后勤和供應鏈
●項目每個階段結束時進行項目績效評審是很重要的,評審的目標是__(32)__。
(32)A.決定項目是否應該進入下一個階段
B.根據過去的績效調整進度和成本基準
C.得到客戶對項目績效認同
D.根據項目的基準計劃來決定完成該項目需要多少資源
●如果一個企業經常采用競爭性定價或生產高質量產品來阻止競爭對手的進入,從而保持自己的穩定,它應該屬于__(33)__。
(33)A.開拓型戰略組織
B.防御型戰略組織
C.分析性戰略組織
D.反應型戰略組織
●廣義理解,運作管理是對系統__(34)__。
(34)A.設置和運行的管理
B.設置的管理
C.運行的管理
D.機制的管理
●__(35)__不是項目成本估算的輸入。
(35)A.項目進度管理計劃
B.項目管理計劃
C.項目成本績效報告
D.風險事件
●__(36)__不是成本估算的方法。
(36)A.類比法
B.確定資源費率
C.工料清單法
D.掙值分析法
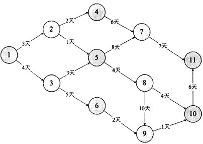
●下圖為某工程進度網絡圖,

結點1為起點,結點11為終點,那么關鍵路徑為__(37)__,此工程最快__(38)__天完成。
(37)A.1-3-5-8-9-10-11
B.1-2-4-7-11
C.1-3-5-7-11
D.1-2-5-8-10-11
(38)A.18
B.28
C.22
D.20
●以下關于工作分解結構的敘述,錯誤的是__(39)__。
(39)A.工作分解結構是項目各項計劃和控制措施制定的基礎和主要依據
B.工作分解結構是面向可交付物的層次型結構
C.工作分解結構可以不包括分包出去的工作
D.工作分解結構能明確項目相關各方面的工作界面,便于責任劃分和落實
●__(40)__描述了項目范圍的形成過程。
(40)A.它在項目的早期被描述出來并隨著項目的進展而更加詳細
B.它是在項目章程中被定義并且隨著項目的進展進行必要的變更
C.在項目早期,項目范圍包含某些特定的功能和其他功能,并且隨著項目的進展添加更詳細的特征
D.它是在項目的早期被描述出來并隨著范圍的蔓延而更加詳細
●以下關于項目整體管理的敘述,正確的是__(41)__。
(41)A.項目整體管理把各個管理過程看成是完全獨立的
B.項目整體管理過程是線性的過程
C.項目整體管理是對項目管理過程組中的不同過程和活動進行識別、定義、整合、統一和協調的過程
D.項目整體管理不涉及成本估算過程
●小王是某軟件開發公司負責某項目的項目經理,該項目己經完成了前期的工作進入實現階段,但用戶提出要增加一項新的功能,小王應該__(42)__。
(42)A.立即實現該變更
B.拒絕該變更
C.通過變更控制過程管理該變更
D.要求客戶與公司領導協商
●一般而言,項目的范圍確定后,項目的三個基本目標是__(43)__。
(43)A.時間、成本、質量標準
B.時間、功能、成本
C.成本、功能、質量標準
D.時間、功能、質量標準
●小王作為項目經理正在帶領項目團隊實施一個新的信息系統集成項目。項目團隊已經共同工作了相當一段時間,正處于項目團隊建設的發揮階段,此時一個新成員加入了該團隊,此時__(44)__。
(44)A.團隊建設將從震蕩階段重新開始
B.團隊將繼續處于發揮階段
C.團隊建設將從震蕩階段重新開始,但很快就會步入發揮階段
D.團隊建設將從形成階段重新開始
●沖突管理中最有效的解決沖突方法是__(45)__。
(45)A.問題解決
B.求同存異
C.強迫
D.撤退
●某公司定期組織公司的新老員工進行聚會,按照馬斯洛的需求層次理論,該行為滿足的是員工的__(46)__。
(46)A.生理需求
B.安全需求
C.社會需求
D.受尊重需求
●在質量規劃中,__(47)__是一種統計分析技術,可用來幫助人們識別并找出哪些變量對項目結果的影響最大。
(47)A.成本效益分析
B.基準分析
C.實驗設計
D.質量審計
●以下有關質量保證的敘述,錯誤的是__(48)__。
(48)A.質量保證主要任務是識別與項目相關的各種質量標準
B.質量保證應該貫穿整個項目生命期
C.質量保證給質量的持續改進過程提供保證
D.質量審計是質量保證的有效手段
●下列選項中,不屬于質量控制工具的是__(49)__。
(49)A.甘特圖
B.趨勢分析
C.控制圖
D.因果圖
●下列選項中,有關項目組合和項目組合管理的說法錯誤的是__(50)__。
(50)A.項目組合是項目或大項目和其他工作的一個集合
B.組合中的項目或大項目應該是相互依賴或相關的
C.項目組合管理中,資金和支持可以依據風險/回報類別來進行分配
D.項目組合管理應該定期排除不滿足項目組合的戰略目標的項目
●項目組合管理可以將組織戰略進一步細化到選擇哪些項目來實現組織的目標,其選擇的主要依據在于__(51)__。
(51)A.交付能力和收益
B.追求人盡其才
C.追求最低的風險
D.平衡人力資源專長
●下列各圖描述了DIPP值隨著項目進行時間的變化,其中正確的是__(52)__。
(52)A.

B.

C.

D.

●項目經理小丁負責一個大型項目的管理工作,目前因人手緊張只有15個可用的工程師,因為其他工程師已經被別的項目占用。這15個工程師可用時間不足所需時間的一半,并且小丁也不能說服管理層改變這個大型項目的結束日期。在這種情況下,小丁應該__(53)__。
(53)A.與團隊成員協調必要的加班,以便完成工作
B.告訴團隊成員他們正在從事一項很有意義的工作,以激發他們的積極性
C.征得管理層同意,適當削減工作范圍,優先完成項目主要工作
D.使用更有經驗的資源,以更快地完成工作
●以下有關行業集中度的說法,錯誤的是__(54)__。
(54)A.計算行業集中度要考慮該行業中企業的銷售額、職工人數、資產額等因素
B.行業集中度較小則表明該行業為競爭型
C.計算行業集中度要涉及該行業的大多數企業
D.穩定的集中度曲線表明市場競爭結構相對穩定
●在實際溝通中,__(55)__更有利于被詢問者表達自己的見解和情緒。
(55)A.封閉式問題
B.開放式問題
C.探詢式問題
D.假設性問題
●項目溝通中不恰當的做法是__(56)__。
(56)A.對外一致,一個團隊要用一種聲音說話
B.采用多樣的溝通風格
C.始終采用正式的溝通方式
D.會議之前將會議資料發給所有參會人員
●下列選項中,項目經理進行成本估算時不需要考慮的因素是__(57)__。
(57)A.人力資源
B.工期長短
C.風險因素
D.盈利
●項目甲、乙、丙、丁的工期都是三年,在第二年末其掙值分析數據如下表所示,按照趨勢最早完工的應是__(58)__。

(58)A.甲
B.乙
C.丙
D.丁
●某項目成本偏差(CV)大于0,進度偏差(SV)小于0,則該項目的狀態是__(59)__。
(59)A.成本節省、進度超前
B.成本節省、進度落后
C.成本超支、進度超前
D.成本超支、進度落后
●下列選項中,屬于變更控制委員會主要任務的是__(60)__。
(60)A.提出變更申請
B.評估變更影響
C.評價、審批變更
D.實施變更
●某軟件開發項目在項目的最后階段發現對某個需求的理解與客戶不一致,產生該問題最可能的原因是__(61)__工作不完善。
(61)A.需求獲取
B.需求分析
C.需求定義
D.需求驗證
●在信息系統開發某個階段工作結束時,應將工作產品及有關信息存入配置庫的__(62)__。
(62)A.受控庫
B.開發庫
C.產品庫
D.知識庫
●以下有關基線的敘述,錯誤的是__(63)__。
(63)A.基線由一組配置項組成
B.基線不能再被任何人任意修改
C.基線是一組經過正式審查井且達成一致的范圍或工作產品
D.產品的測試版本不能被看作基線
●某個配置項的版本由1.0變為2.0,按照配置版本號規則表明__(64)__。
(64)A.目前配置項處于正式發布狀態,配置項版本升級幅度較大
B.目前配置項處于正式發布狀態,配置項版本升級幅度較小
C.目煎配置項處于正在修改狀態,配置項版本升級幅度較大
D.目前配置壩處于正在修改狀態,配置項版本升級幅度較小
●下列選項中,不屬于配置審核的作用是__(65)__。
(65)A.防止向用戶提交不適合的產品
B.確保項目范圍的正確
C.確保變更遵循變更控制規程
D.找出各配置項間不匹配的現象
●某工廠生產甲、乙兩種產品,生產1公斤甲產品需要煤9公斤、電4度、油3公斤,生產1公斤乙產品需要煤4公斤、電5度、油10公斤。該工廠現有煤360公斤、電200度、油300公斤。已知甲產品每公斤利潤為7千元,乙產品每公斤利潤為1.2萬元,為了獲取最大利潤應該生產甲產品__(66)__公斤,乙產品__(67)__公斤。
(66)A.20
B.21
C.22
D.23
(67)A.22
B.23
C.24
D.25
●某廠需要購買生產設備生產某種產品,可以選擇購買四種生產能力不同的設備,市場對該產品的需求狀況有三種(需求量較大、需求量中等、需求量較小)。廠方估計四種設備在各種需求狀況下的收益由下表給出,根據收益期望值最大的原則,應該購買__(68)__。

(68)A.設備1
B.設備2
C.設備3
D.設備4
●某公司新建一座200平米的廠房,現準備部署生產某產品的設備。該公司現空閑生產該產品的甲、乙、丙、丁四種型號的設備各3臺,每種型號設備每天的生產能力由下表給出。在廠房大小限定的情況下,該廠房每天最多能生產該產品__(69)__個。

(69)A.500
B.520
C.524
D.530
●根據企業內外環境的分析,運用SWOT配比技術就可以提出不同的企業戰略。S-T戰略是__(70)__。
(70)A.發揮優勢、利用機會
B.利用機會、克服弱點
C.利用優勢、回避威脅
D.減小弱點、回避威脅
●The __(71)__ process ascertains which risks have the potential of affecting the projectand documenting the risks’characteristics.
(71)A.Risk Identification
B.Quantitative Risk Analysis
C.Qualitative Risk Analysis
D.Risk Monitoring and Control
●The strategies for handling risk comprise of two main types:negative risks,andpositive risks.The goal of the plan is to minimize threats and maximize opportunities.Whendealing with negative risks,there are three main response strategies-__(72)__,Transfer,Mitigate.
(72)A.Challenge
B.Exploit
C.Avoid
D.Enhance
●__(73)__ is a property of object-oriented software by which an abstract operation may be performed in different ways in different classes.
(73)A.Method
B.Polymorphism
C.Inheritance
D.Encapsulation
●The Unified Modeling Language is a standard graphical language for modeling object-oriented software.__(74)__ can show the behavior of systems in terms of how objects interact with each other.
(74)A.Class diagram
B.Component diagram
C.Sequence diagram
D.Use case diagram
●The creation of a work breakdown structure(WBS)is the process of __(75)__ the major project deliverables.
(75)A.subdividing
B.assessing
C.planning
D.integrating
軟考科目怎么選?
微信掃碼下方二維碼找答案
▼ ▼ ▼
熱門:信息系統監理師備考 | 網絡工程師備考 | 軟件設計師備考
推薦:信息系統項目管理師網絡課堂 | 2026年軟考報名時間及入口匯總表
課程:信息系統項目管理師報考指南 | PMP課程
軟考備考資料免費領取
去領取
專注在線職業教育25年