摘要:2005下半年系統分析師考試真題上午綜合知識部分,供大家參考學習。
●面向對象系統中有兩種基本的復用方式:框架復用和類庫復用。下列關于框架和類庫的描述不正確的是__(1)__。
(1)A.框架是一個“半成品”的應用程序
B.類庫只包含一系列可被應用程序調用的類
C.框架會為一個特定的目的實現一個基本的、可執行的架構
D.類庫是框架的一種擴展形式
●下列有關面向對象的敘述不正確的是__(2)__。
(2)A.面向對象設計最根本的意圖是適應需求變化
B.應盡量針對接口編程,而不要針對實現編程
C.盡量使用繼承而不是聚合,因為繼承使得類間的藕合性最小
D.盡量使用已有的類庫
●當__(3)__時,用例是捕獲系統需求最好的選擇。
(3)A.系統具有很少的用戶
B.系統具有很少的接口
C.系統算法復雜,功能單一
D.系統有很多參與者
●現有兩個用例UC1和UC2,其中UC2是一個完整的用例,可被實例化,而UC1需要UC2中的事件流才可被實例化,且UC1指定了使用UC2的精確位置,則UC1和UC2間的關系是“__(4)__”。
(4)A.include
B.extend
C.generalize
D.call
●下列關于面向對象的分析與設計的描述,正確的是__(5)__。
(5)A.面向對象設計描述軟件要做什么
B.面向對象分析不需要考慮技術和實現層面的細節
C.面向對象分析的輸入是面向對象設計的結果
D.面向對象設計的結果是簡單的分析模型
●協作圖主要描述對象間的交互與連接,它__(6)__。
(6)A.能夠表示消息的順序和嵌套關系
B.能夠表示消息的順序關系,但不能表示消息的嵌套關系
C.能夠表示消息的嵌套關系,但不能表示消息的順序關系
D.既不能表示消息的順序關系,也不能表示消息的嵌套關系
●下列關于UML敘述正確的是__(7)__。
(7)A.UML是一種語言,語言的使用者不能對其擴展
B.UML僅是一組圖形的集合
C.UML僅適用于系統的分析與設計階段
D.UML是獨立于軟件開發過程的
●某軟件企業2004年初計劃投資1000萬人民幣開發一套中間件產品,預計從2005年開始,年實現產品銷售收入1500萬元,年市場銷售成本1000萬元。該產品的系統分析員張工根據財務總監提供的貼現率,制作了如下的產品銷售現金流量表。根據表中的數據,該產品的動態投資回收期是__(8)__年,投資收益率是__(9)__。

(8)A.1
B.2
C.2.27
D.2.73
(9)A.42%
B.44%
C.50%
D.100%
●為了保障數據的存儲和傳輸安全,需要對一些重要數據進行加密。由于對稱密碼算法__(10)__,所以特別適合對大量的數據進行加密。國際數據加密算法IDEA的密鑰長度是__(11)__位。
(10)A.比非對稱密碼算法更安全
B.比非對稱密碼算法密鑰長度更長
C.比非對稱密碼算法效率更高
D.還能同時用于身份認證
(11)A.56
B.64
C.128
D.256
●某業務員需要在出差期間能夠訪問公司局域網中的數據,與局域網中的其他機器進行通信,并且保障通信的機密性。但是為了安全,公司禁止Internet上的機器隨意訪問公司局域網。虛擬專用網使用__(12)__協議可以解決這一需求。
(12)A.PPTP
B.RC-5
C.UDP
D.Telnet
●根據統計顯示,80%的網絡攻擊源于內部網絡,因此,必須加強對內部網絡的安全控制和防。下面的措施中,無助于提高同意局域網內安全性的措施是__(13)__。
(13)A.使用防病毒軟件
B.使用日志審計系統
C.使用入侵檢測系統
D.使用防火墻防止內部攻擊
●標準化工作的任務是指定標準、組織實施標準和對標準的實施進行監督,__(14)__是指編制計劃,組織草擬,審批、編號、發布的活動。
(14)A.制訂標準
B.組織實施標準
C.對標準的實施進行監督
D.標準化過程
●某市標準化行政主管部門制定并發布的工業產品安全的地方標準,在其行政區域內是__(15)__。
(15)A.強制性標準
B.推薦性標準
C.實物標準
D.指導性標準
●甲公司生產的**牌U盤是已經取得商標權的品牌產品,但寬展期滿仍未辦理續展注冊。此時,乙公司未經甲公司許可將該商標用做乙公司生產的活動硬盤的商標。__(16)__。
(16)A.乙公司的行為構成對甲公司權利的侵害
B.乙公司的行為不構成對甲公司權利的侵害
C.甲公司的權利沒有終止,乙公司的行為應經甲公司的許可
D.甲公司已經取得商標權,不必續展注冊,永遠受法律保護
●甲企業開發出某一新產品,并投入生產。乙企業在甲企業之后三個月也開發出同樣的新產品,并向專利部門提交專利申請。在乙企業提交專利權申請后的第5日,甲企業向該專利部門提交了與乙企業相同的專利申請。按照專利法有關條款,__(17)__獲得專利申請權。
(17)A.甲乙企業同時
B.乙企業
C.甲乙企業先后
D.甲企業
●建立企業信息系統應該遵循一定的原則,以下原則不適當的是__(18)__。
(18)A.必須支持企業的戰略目標
B.應該自上而下地規劃和實現
C.應該支持企業各個管理層的需求
D.應該向整個企業提供一致的信息
●新項目與過去成功開發過的一個項目類似,但規模更大,這時應該使用__(19)__進行項目開發設計。
(19)A.原型法
B.變換模型
C.瀑布模型
D.螺旋模型
●根據McCabe環路復雜性度量,下面程序圖的復雜度是__(20)__,對這個程序進行路徑覆蓋測試,可得到的基本路徑是__(21)__。

(20)A.2
B.3
C.4
D.5
(21)A.A-B-C-H-I-K;A-B-C-H-J-K;A-B-C-D-E-F-G
B.A-B-C-H-I-K;A-B-C-H-J-K;A-B-C-D-E-F-G-C-H-I-K;A-B-C-D-E-G-C-H-I-K
C.A-B-C-H-I-K;A-B-C-H-J-K;A-B-C-D-E-F-G-C-H-I-K;A-B-D-E-G-C-H-J-K
D.A-B-C-H-I-K;A-B-C-H-J-K;A-B-C-D-E-F-G-C-H-I-K;A-B-C-D-E-F-G-C-H-J-K;A-B-C-D-E-G-C-H-I-K
●假設市場上某種商品有兩種品牌A和B,當前的市場占有率各為50%。根據歷史經驗估計,這種商品當月與下月市場占有率的變化可用轉移矩陣P來描述:

其中p(A→B)是A的市場占有份額中轉移給B的概率,依次類推。這樣。2個月后的這種商品的市場占有率變化為__(22)__。
(22)A.A的份額增加了10%,B的份額減少了10%
B.A的份額減少了10%,B的份額增加了10%
C.A的份額增加了14%,B的份額減少了14%
D.A的份額減少了14%,B的份額增加了14%
●131-45=53在__(23)__進制下成立。
(23)A.六
B.七
C.八
D.九
●在下面的活動圖中,從A到J的關鍵路徑是__(24)__,I和J之間的活動開始的最早時間是__(25)__。

(24)A.ABEGJ
B.ADFHJ
C.ACFGJ
D.ADFIJ
(25)A.13
B.23
C.29
D.40
●下列關于軟件需求管理與需求開發的論述,正確的是__(26)__。
(26)A.所謂需求管理是指對需求開發的管理
B.需求管理包括:需求獲取、需求分析、需求定義和需求驗證
C.需求開發是將用戶需求轉化為應用系統成果的過程
D.在需求管理中,要求維持對原有需求和所有產品構件需求的雙向跟蹤
●為了使構件系統更切合實際、更有效地被復用,構件應當具備__(27)__,以提高其通用性。
(27)A.可繼承性
B.可變性
C.可封裝性
D.可伸縮性
●關于電子政務與傳統政務的比較,以下論述不正確的是__(28)__。
(28)A.辦公手段不同
B.與公眾溝通方式存在差異
C.業務流程一致
D.電子政務是政務活動一種新的表現形式
●詹姆斯·馬丁將計算機的數據環境分成四種類型,并認為清楚地了解他們之間的區別是很重要的。這四種類型按照管理層次從低到高排列,正確的是__(29)__。
(29)A.數據文件、應用數據庫、主題數據庫、信息檢索數據庫
B.數據文件、主題數據庫、應用數據庫、數據倉庫
C.元數據庫、主題數據庫、應用數據庫、數據倉庫
D.元數據庫、應用數據庫、主題數據庫、信息檢索數據庫
●關于信息資源和信息資源管理,以下論述不正確的是__(30)__。
(30)A.信息資源與人力、物力、財力等資源一樣,都是企業的重要資源
B.信息資源管理包括數據資源管理和信息處理管理
C.信息資源管理成為知識經濟時代企業文化建設的重要組成部分
D.信息資源管理的基礎是數據庫管理
●假設信源是由q個離散符號S1,S2,…,Si,…,Sq所組成的符號集合,集合中的每個符號是獨立的,其中任一個符號Si出現的概率為P(Si),并滿足∑P(Si)=1。那么符號Si含有的信息量I(Si)等于__(31)__,單位是__(32)__。
(31)A.-logqP(Si)
B.logqP(Si)
C.–log2P(Si)
D.log2P(Si)
(32)A.比特
B.信息熵
C.db
D.無單位
●某商場的部門、員工和商品三個實體之間的關系如下圖所示。假設每個部門有若干名員工,每種商品只能由一個部門負責銷售,那么部門到員工、部門到商品之間分別存在著__(33)__的聯系。如果用戶要求得到表4所示的結果,需要__(34)__,并增加關系模式__(35)__。如果查詢某部門負責銷售的商品,需要__(36)__。

(33)A.1:1和1:1
B.1:1和1:n
C.1:n和1:1
D.1:n和1:n
(34)A.修改表1的結構,在表1中增加一個員工號
B.修改表2的結構,在表2中增加一個員工號
C.修改表2的結構,在表2中增加一個部門號
D.修改表3的結構,在表3中增加一個部門號
(35)A.Sale_record(員工號,名稱,數量)
B.Sale_record(員工號,名稱,商品號,數量)
C.Sale_record(員工號,部門號,數量)
D.Sale_record(員工號,部門號,商品號,數量)
(36)A.修改表1的結構,在表1中增加一個員工號
B.修改表2的結構,在表2中增加一個員工號
C.修改表2的結構,在表2中增加一個部門號
D.修改表3的結構,在表3中增加一個部門號
●給定關系R(A1,A2,A3,A4)上的函數依賴集F={A1→A2,A3→A2,A2→A3,A2→A4},R的候選關鍵字為__(37)__。
(37)A.A1
B.A1A3
C.A1A3A4
D.A1A2A3
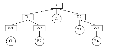
●在下圖所示的樹型文件系統中,方框表示目錄,圓圈表示文件,“/”表示路徑之間的分隔符,“/”在路徑之首時表示根目錄,“..”表示父目錄。假設當前目錄是D1,“COPY”表示拷貝命令,那么,將文件f2拷貝到根目錄中的正確命令是__(38)__;下面對根目錄中文件f1和子目錄W1中文件f1描述正確的是__(39)__。

(38)A.COPY D1/W2/f2/
B.COPY W2/f2..
C.COPY/W2/f2..
D.COPY/W2/f2/
(39)A.根目錄中文件f1和子目錄W1中文件f1是完全相同的
B.根目錄中文件f1和子目錄W1中文件f1是不相同的
C.根目錄中文件f1和子目錄W1中文件f1可能相同也可能不相同
D.樹型文件系統中不允許出現相同名字的文件
●某工廠倉庫有一名保管員,該倉庫可存放n箱零件。該工廠生產車間有m名工人,只要倉庫空閑,工人將生產好的整箱零件放入倉庫,并由保管員登記入庫數量;該工廠銷售部有k名銷售員,只要倉庫庫存數能滿足客戶要求,便可提貨,并由保管員登記出庫數量。規定工人和銷售員不能同時進入倉庫,但是工人和工人,銷售員和銷售員可以同時進入倉庫,其工作流程如下圖所示。
假設系統中P操作表示申請一個資源,當執行P操作時對信號量減1,若信號量S≥0,則執行P操作的進程繼續執行,否則等待。系統中V操作表示釋放一個資源,當執行V操作時對信號量加1,若信號量S>0,則執行V操作的進程繼續執行;若信號量S≤0,則從阻塞狀態喚醒一個進程,并將其插入就緒隊列,然后執行V操作的進程繼續。
為了利用PV操作正確地協調工人和銷售員進程之間的工作,設置了信號量S1,S2和S3,它們的初值分別為n、0和1。圖中的a和b應填寫__(40)__;圖中的e和f應分別填寫__(41)__;圖中的c、d、g和h應分別填寫__(42)__。

(40)A.P(S1)、V(S1)
B.P(S1)、V(S2)
C.P(S2)、V(S2)
D.P(S2)、V(S1)
(41)A.P(S1)、V(S1)
B.P(S1)、V(S2)
C.P(S2)、V(S2)
D.P(S2)、V(S1)
(42)A.P(S1)、V(S1)、P(S2)、V(S2)
B.P(S1)、V(S1)、P(S3)、V(S3)
C.P(S2)、V(S2)、P(S3)、V(S3)
D.P(S3)、V(S3)、P(S3)、V(S3)
●在計算機系統中,某一功能的處理時間為整個系統運行時間的50%,若使該功能的處理速度加快10倍,根據Amdahl定律,這樣做可以使整個系統的性能提高__(43)__倍。若要使整個系統的性能提高1.5倍,則該功能的處理速度應加快__(44)__倍。
(43)A.1.6
B.1.7
C.1.8
D.1.9
(44)A.3
B.5
C.7
D.8
●利用高速通信網絡將多臺高性能工作站或微型機互連構成機群系統,其系統結構形式屬于__(45)__計算機。
(45)A.SISD
B.MISD
C.SIMD
D.MIMD
●若某計算機是由四個部件并串聯構成,如下圖所示。且每一部件的可靠度R都是0.9,則該計算機的可靠度為__(46)__。

(46)A.0.980
B.0.990
C.0.995
D.0.999
●用單臺處理機順序計算表達式:f=a+be+ce2+de3,需__(47)__級。若用三臺處理機并行計算此表達式,則只需__(48)__級。
(47)A.4
B.5
C.6
D.7
(48)A.2
B.3
C.4
D.5
●某數據處理流水線如下圖所示,若每隔3Δt流入一個數據,連續處理4個數據。此數據處理流水線的實際吞吐率為__(49)__。此時該流水線的效率為__(50)__。

(49)A.4/(12Δt)
B.4/(13Δt)
C.4/(14Δt)
D.4/(15Δt)
(50)A.2/3
B.2/5
C.2/7
D.2/9
●在選擇多媒體數據壓縮算法時需要綜合考慮__(51)__。
(51)A.數據質量和存儲要求
B.數據的用途和計算要求
C.數據質量、數據量和計算的復雜度
D.數據的質量和計算要求
●在計算機輸出的聲音中,不屬于合成聲音的是__(52)__。
(52)A.頻率調制聲音
B.波表聲音
C.波形聲音
D.MIDI音樂
●在MPEG系列標準中,__(53)__最適合在共用電話交換網(PSTN)上實時傳輸視頻數據。
(53)A.MPEG-1
B.MPEG-2
C.MPEG-4
D.MPEG-7
●在下圖中,由點O(0,0)到點P(5,6)的最短路徑共有__(54)__條。

(54)A.248
B.252
C.254
D.256
●下列語句中,__(55)__是真命題。
(55)A.計算機程序只能存儲在內存中
B.如果1+1=5,那么1+2=3
C.如果1+1=3,那么雪是黑的
D.嚴禁考試作弊
●設A(x):x是金子,B(x):x是閃光的,則命題“沒有不閃光的金子,但閃光的不一定是金子”形式化為__(56)__。

●對于任意集合A、B和C,下述論斷正確的是__(57)__。

●設集合A中含有4個元素,則A上不同的等價關系的個數為__(58)__。
(58)A.15
B.14
C.13
D.12
●設|V|=n(n>1),當且僅當__(59)__,G=<V,E>是強連通圖。
(59)A.G中至少有一條路
B.G中至少有一條回路
C.G中有通過每個結點至少一次的路
D.G中有通過每個結點至少一次的回路
●設集合A={a,b,c,d,e}上的偏序關系如下圖所示,則子集{a,b,c}的上界為__(60)__。

(60)A.a,e
B.a
C.e
D.無上界
●在ISO OSI/RM中,__(61)__實現數據壓縮功能。
(61)A.應用層
B.表示層
C.會話層
D.網絡層
●以下連網設備中,工作于網絡層的設備是__(62)__。
(62)A.調制解調器
B.以太網交換機
C.集線器
D.路由器
●內部局域網中,客戶機通過代理服務器訪問Internet的連接方式如下圖所示,在Windows操作系統中,__(63)__軟件不能提供代理服務器功能。地址為192.168.1.100的客戶機配置“TCP/IP網絡屬性”時,其中“網關”的設置內容應是__(64)__。該客戶機訪問Internet時,經由代理服務器后數據包的源地址為__(65)__。

(63)A.IIS
B.ISA
C.WinGate
D.SysGate
(64)A.192.168.1.1
B.192.168.0.1
C.220.110.10.1
D.192.168.1.100
(65)A.192.168.1.1
B.192.168.0.1
C.220.110.10.1
D.192.168.1.100
●Microsoft’s COM is a software __(66)__ that allows applications to be built from binary software components.COM is the underlying architecture that forms the foundation for higher-level software services,like those provided by OLE.COM defines a binary standard for function calling between components,a way for components to dynamically discover the interfaces implemented by other components,and a mechanism to identify components and their interfaces uniquely.
OLE is a compound __(67)__ standard developed by Microsoft.OLE makes it possible to create __(68)__ with one application and link or embed them in a second application.Embedded objects retain their original format and __(69)__ to the application that created them.Support for OLE is built into the Windows and MacOS Operating Systems.A __(70)__ compound document standard developed mainly by Apple and IBM is called OpenDoc.
(66)A.Architecture
B.protocol
C.procedure
D.structure
(67)A.text
B.graphic
C.document
D.database
(68)A.Table
B.event
C.objects
D.function
(69)A.Characteristics
B.address
C.page
D.links
(70)A.Completing
B.competing
C.connecting
D.contained
●VRML is a __(71)__ for 3D multimedia and shared virtual worlds on the WWW.In comparison to HTML,VRML adds the next level of interaction,structured graphics,and extra __(72)__(z and time)to the presentation of documents.The applications of VRML are __(73)__,ranging from simple business graphics to entertaining WWW page graphics,manufacturing,scientific,entertainment,and educational applications,and 3D shared virtual worlds and communities.
X3D is the name under which the development of VRML is continued.X3D is based on XML and is backwards __(74)__with VRML.Furthermore,it is componentized,profiled,and extensible,which makes it possible to use X3D in very different __(75)__,from high-end visualizations to lightweight applications.
(71)A.link
B.format
C.structure
D.procedure
(72)A.subject
B.object
C.dimensions
D.disconnection
(73)A.broad
B.implicit
C.explicit
D.special
(74)A.imconsistent
B.independent
C.applicable
D.compatible
(75)A.scenarios
B.places
C.applications
D.programs
軟考科目怎么選?
微信掃碼下方二維碼找答案
▼ ▼ ▼
熱門:信息系統監理師備考 | 網絡工程師備考 | 軟件設計師備考
推薦:信息系統項目管理師網絡課堂 | 2026年軟考報名時間及入口匯總表
課程:信息系統項目管理師報考指南 | PMP課程
軟考備考資料免費領取
去領取
專注在線職業教育25年