摘要:2014年系統分析師考試真題上午綜合知識部分,供大家參考學習。
以下為2014年系統分析師考試真題上午綜合知識部分,供大家參考學習。
●在訂單管理模塊中,新建訂單和修改訂單都需要檢查用戶是否登錄,用例“新建訂單”、“修改訂單”與用例“檢查用戶登錄”之間是__(1)__。
(1)A.包含關系
B.擴展關系
C.泛化關系
D.聚集關系
●UML中,序列圖的基本元素包括__(2)__。
(2)A.對象、生命線和泳道
B.對象、泳道和消息
C.對象、生命線和消息
D.生命線、泳道和消息
●UML中,靜態視圖描述事務的靜態結構,主要包括__(3)__;交互視圖描述了執行系統功能的各個角色之間相互傳遞消息的順序關系,主要包括__(4)__。
(3)A.用例圖、類圖、包圖
B.用例圖、組件圖、部署圖
C.類圖、對象圖、狀態圖
D.組件圖、協作圖、包圖
(4)A.活動圖、狀態圖
B.序列圖、狀態圖
C.活動圖、協作圖
D.序列圖、協作圖
●使用UML進行關系數據庫的__(5)__時,需要設計出表達持久數據的實體類及其聯系,并將它們映射為數據庫表和視圖等。
(5)A.業務用例設計
B.邏輯數據模型設計
C.物理數據模型設計
D.物理實現設計
●以下關于IPsec協議的描述中,正確的是__(6)__。
(6)A.IPsec認證頭(AH)不提供數據加密服務
B.IPsec封裝安全負荷(ESP)用于數據完整性認證和數據源認證
C.IPsec的傳輸模式對原來的IP數據報進行了封裝和加密,再加上了新IP頭
D.IPsec通過應用層的Web服務建立安全連接
●防火墻的工作層次是決定防火墻效率及安全的主要因素,下面的敘述中正確的是__(7)__。
(7)A.防火墻工作層次越低,則工作效率越高,同時安全性越高
B.防火墻工作層次越低,則工作效率越低,同時安全性越低
C.防火墻工作層次越高,則工作效率越高,同時安全性越低
D.防火墻工作層次越高,則工作效率越低,同時安全性越高
●在入侵檢測系統中,事件分析器接收事件信息并對其進行分析,判斷是否為入侵行為或異常現象,其常用的三種分析方法中不包括__(8)__。
(8)A.模式匹配
B.密文分析
C.數據完整性分析
D.統計分析
●某實驗室使用無線路由器提供內部上網,無線路由器采用固定IP地址連接至校園網,實驗室用戶使用一段時間后,不定期出現不能訪問互聯網的現象,經測試無線路由器工作正常,同時有線接入的用戶可以訪問互聯網。分析以上情況,導致這一故障產生的最可能的原因是__(9)__。
(9)A.無線路由器配置錯誤
B.無線路由器硬件故障
C.內部或者外部網絡攻擊
D.校園網接入故障
●軟件著作權中的翻譯權不是指將原軟件__(10)__權利。
(10)A.由一種自然語言文字轉換成另一種自然語言文字
B.由一種程序設計語言轉換成另一種程序設計語言
C.操作界面中涉及的自然語言文字由一種語言文字翻譯成另一種語言文字
D.程序中涉及的自然語言文字由一種語言文字翻譯成另一種語言文字
●某學校舉行程序設計競賽,兩位同學針對同一問題、按照規定的技術標準、采用相同的程序設計語言、利用相同的開發環境完成了程序設計。兩個程序相似,同學甲先提交,同學乙的構思優于甲。此情形下,__(11)__享有著作權。
(11)A.同學甲
B.同學甲、同學乙都各自
C.同學乙
D.同學甲、同學乙都不
●利用__(12)__可以保護軟件的技術信息和經營信息。
(12)A.著作權
B.專利權
C.商業秘密權
D.商標權
●甲、乙軟件公司2012年7月12日就其財務軟件產品分別申請“清山”和“青山”商標注冊。兩財務軟件產品相似,且甲、乙軟件公司第一次使用時間均為2009年5月12日。此情形下,__(13)__能獲準注冊。
(13)A.“清山”
B.“清山”與“青山”都
C.“青山”
D.由甲、乙抽簽結果確定誰
●使用多處理機系統的主要目的是實現__(14)__代碼的并行性。
(14)A.操作級和指令級
B.指令級和作業級
C.作業級和任務級
D.任務級和指令級
●按照Cache地址映像的塊沖突概率,從高到低排列的是__(15)__。
(15)A.全相聯映像→直接映像→組相聯映像
B.直接映像→組相聯映像→全相聯映像
C.組相聯映像→全相聯映像→直接映像
D.直接映像→全相聯映像→組相聯映像
●某計算機系統各組成部件的可靠性模型由下圖所示。若每個部件的千小時可靠度都為R,則該計算機系統的千小時可靠度為__(16)__。

(16)A.(1-R2)(1-R3)
B.(1-R2)+(1-R3)
C.(1-(1-R)2)(1-(1-R)3)
D.(1-(1-R)2)+(1-(1-R)3)
●DMA工作方式是在__(17)__之間建立直接的數據通路。
(17)A.CPU與外設
B.CPU與主存
C.主存與外設
D.外設與外設
●浮點數在機器中的表示形式如下所示,若階碼的長度為e,尾數的長度為m,則以下關于浮點表示的敘述中,正確的是__(18)__。

①e的值影響浮點數的范圍,e越大,所表示的浮點數值范圍越大
②e的值影響浮點數的精度,e越大,所表示的浮點數精度越高
③m的值影響浮點數的范圍,m越大,所表示的浮點數范圍越大
④m的值影響浮點數的精度,m越大,所表示的浮點數精度越高
(18)A.①③
B.②③
C.①④
D.②④
●某服裝公司希望對現有的信息發布系統進行集成與改造,從而實現隨時通過互聯網向用戶發布特定的信息,為了避免騷擾用戶,系統還要允許每個用戶指定他們感興趣的消息,另外還要向特定的用戶群發送特定消息。針對上述要求,__(19)__方案相對更為可行。
(19)A.采用訂閱-發布(Subscript/Publish)模式。客戶訂閱需要的信息,并監聽消息,消息到來后通知客戶接收
B.采用動態接收表(Dynamic List)模式。客戶訂閱需要的消息,接收表是一個路由器,把一個消息廣播給一組接收者,同時為每個接收者提供專門的消息處理
C.采用消息存儲庫(Message Store)模式。監聽所有的消息,將它們存儲到一個消息存儲庫中,通過查詢客戶訂閱狀態如何進行消息分發
D.采用文件傳輸(File Transfer)模式。用戶安裝客戶端監聽消息,消息轉換為文件,通過FTP傳輸并通知用戶接收消息
●詳細調查為系統分析和新系統邏輯模型的建立提供詳盡的、準確的、完整的系統的資料。詳細調查的主要內容包括現有系統的運行環境和狀況、系統功能、__(20)__、資源情況、約束條件和薄弱環節等。如果對某現有系統進行詳細調查時,發現該系統業務復雜,涉及崗位較多,系統的歷史遺留文檔全面、數量很大時,可以采用__(21)__方法。
(20)A.業務流程
B.數據庫模型
C.網絡傳輸協議
D.編程語言
(21)A.現場觀摩
B.書面調查
C.個別訪問
D.抽樣調查
●系統分析階段,在確定系統的所有功能后,還需要分析各功能之間的關系和流程,使用__(22)__來檢驗是否識別出所有的功能,判定系統分析師是否了解系統功能,也是以后進行系統設計的基礎。
(22)A.系統功能體系圖
B.功能流程圖
C.數據流圖
D.實體-聯系圖
●在對于現有系統進行分析時,__(23)__方法是錯誤的。
(23)A.多與用戶溝通,了解他們對現有系統的認識和評價
B.了解現有系統的組織結構,輸入/輸出、資源利用情況和數據處理過程
C.理解現有系統“做什么”的基礎上,抽取其“怎么做”的本質
D.從對現有系統的物理模型出發,通過研究、分析建立起其較高層次的邏輯模型描述
●業務流程圖(Transaction Flow Diagram,TFD)是業務流程調查結果的圖形化表示,它反映現有系統各部門的業務處理過程及其之間的分工與聯系,以及連接各部門的__(24)__的傳遞和流動關系,體現現有系統的邊界、環境、輸入/輸出和數據存儲等內容。某公司的系統分析師進行系統分析后,得到了系統“員工領原材料”的業務流程描述:員工填寫領料單,庫長批準領料單,庫工查村存庫賬,如果發現缺貨則通知采購人員,采購人員通知供貨單位補充貨物,最終向員工提供原材料。使用TFD描述這一流程時,“供貨單位”應該表示為__(25)__,“員工”應該表示為__(26)__。
(24)A.信息流
B.控制流
C.功能流
D.業務流
(25)A.外部實體
B.業務處理單位
C.參與者
D.數據處理
(26)A.外部實體
B.業務處理單位
C.參與者
D.數據處理
●某公司要開發一個軟件產品,產品的某些需求是明確的,而某些需求則需要進一步細化。由于市場競爭的壓力,產品需要盡快上市。則開發該軟件產品最不適合采用__(27)__模型。
(27)A.增量
B.原型
C.瀑布
D.螺旋
●__(28)__是系統分析階段結束后得到的工作產品,__(29)__是系統測試階段完成后的工作產品。
(28)A.系統設計規格說明
B.系統方案建議書
C.程序規格說明
D.單元測試數據
(29)A.驗收測試計劃
B.測試標準
C.系統測試計劃
D.操作手冊
●已知一個類可以處理以英制標準(英寸、英里等)表示的數據,現在需要處理一公制單位表示的數據,則可以使用__(30)__模式來解決該問題。當__(31)__時,可以使用該設計模式。
(30)A.Adapter
B.Decorator
C.Delegation
D.Proxy
(31)A.對一個抽象的實現部分的修改對用戶不產生影響
B.想使用一個已經存在的類,而它的接口不符合用戶需求
C.一個系統要獨立于它的產品創建、組合和表示
D.一個對象的改變需要同時改變其他對象
●在建立企業模型過程中,確定了企業高層業務功能之后,可以通過功能分解的方式將其進一步分解為業務過程。以下關于功能分解原則的描述,錯誤的是__(32)__。
(32)A.每個高層功能一般至少可分解成兩個子功能或過程
B.同種功能或過程在分解中不能重復出現
C.組成較高層次的功能的子功能或過程,必須反映較高層功能的所有方面
D.在同一分解層次上同時包含功能與過程
●在UML 2.0中,__(33)__強調消息跨越不同對象或參與者的實際時間,而不僅僅關心消息的相對順序;它能夠__(34)__。
(33)A.定時圖
B.通信圖
C.順序圖
D.交互概覽圖
(34)A.表示對象之間的組織結構
B.直觀地表示對象之間的協作關系
C.把狀態發生變化的時刻以及各個狀態所持續的時間具體地表示出來
D.確定參與交互的執行者
●企業信息化規劃是企業信息化建設中的重要環節,與信息系統規劃、企業規劃、業務流程建模等密切相關。在關于企業信息化規劃的活動中,__(35)__利用機會或威脅評價現在和未來的環境,用優勢和劣勢評價企業現狀,進而選擇和確定企業的總體和長遠目標,制定和抉擇實現目標的行動方案。__(36)__關注如何通過信息系統來支撐業務流程的運作,進而實現企業的關鍵業務目標,其重點在于對信息系統遠景、組成架構、各部分邏輯關系進行規劃。
(35)A.企業戰略規劃
B.信息資源規劃
C.信息系統戰略規劃
D.信息技術戰略規劃
(36)A.企業戰略規劃
B.信息資源規劃
C.信息系統戰略規劃
D.信息技術戰略規劃
●如何選擇一個合適的開發方法,以保證在多變的市場環境下,在既定的預算和時間要求范圍內,開發出讓用戶滿意的信息系統,是系統分析師必須要面對的問題。__(37)__方法使系統的描述及信息模型的表示與客觀實體相對應,符合人們的思維習慣,有利于系統開發過程中用戶與開發人員的交流與溝通,縮短開發周期,提供系統開發的正確性和效率。__(38)__方法以粗粒度、松散耦合的系統功能為核心,強調系統功能的標準化和構件化,加強了系統的靈活性、可復用性和可演化性。
(37)A.結構化
B.面向對象
C.原型化
D.面向服務
(38)A.結構化
B.面向對象
C.原型化
D.面向服務
●實施企業信息戰略規劃有多種方法,其中__(39)__主要以企業內部管理信息系統為核心,圍繞企業整體需求進行信息系統規劃。
(39)A.企業系統規劃
B.關鍵成功因素法
C.信息工程法
D.價值鏈分析法
●在數據庫系統中,數據庫的視圖、基本表和存儲文件的結構分別與__(40)__對應;數據的物理獨立性和數據的邏輯獨立性是分別通過修改__(41)__來完成的。
(40)A.模式、外模式、內模式
B.模式、內模式、外模式
C.外模式、模式、內模式
D.外模式、內模式、模式
(41)A.模式與內模式之間的映像、外模式與模式之間的映像
B.外模式與內模式之間的映像、外模式與模式之間的映像
C.外模式與模式之間的映像、模式與內模式之間的映像
D.外模式與內模式之間的映像、模式與內模式之間的映像
●給定關系模式R(U,F),U={A,B,C,D},F={AB→C,CD→B}。關系R__(42)__,且分別有__(43)__。
(42)A.只有1個候選關鍵字ACB
B.只有1個候選關鍵字BCD
C.有2個候選關鍵字ACD和ABD
D.有2個候選關鍵字ACB和BCD
(43)A.0個非主屬性和4個主屬性
B.1個非主屬性和3個主屬性
C.2個非主屬性和2個主屬性
D.3個非主屬性和1個主屬性
●某銷售公司數據庫中的關系零件為P(Pno,Pname,Sname,City,Qty),Pno表示零件號,Pname表示零件名稱,Sname表示供應商,City表示所在地,Qty表示庫存量。其函數依賴集F={Pno→Pname,(Pno,Sname)→Qty,Sname→City}。關系P為__(44)__,存在冗余度大、修改操作不一致、插入異常和刪除異常的問題。若將P分解為__(45)__,則可以解決這一問題。
(44)A.1NF
B.2NF
C.3NF
D.4NF
(45)A.P1(Pname,Qty)、P2(Pno,Sname,City)
B.P1(Pname,Pname)、P2(Sname,City,Qty)
C.P1(Pno,Pname)、P2(Pno,Sname,Qty)、P3(Sname,City)
D.P1(Pno,Pname)、P2(Pno,Qty)、P3(Sname,City)、P4(City,Qty)
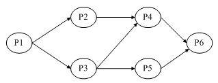
●進程P1、P2、P3、P4、P5和P6的前趨圖如下所示:

若用PV操作控制這6個進程的同步與互斥的程序如下,那么程序中的空a、空b和空c處應分別為__(46)__;空d和空e處應分別為__(47)__;空f和空g處應分別為__(48)__。

(46)A.V(S3)、P(S2)和V(S4)V(S5)
B.P(S3)、P(S2)和V(S4)V(S5)
C.V(S2)、P(S3)和P(S4)P(S3)
D.V(S2)、V(S3)和P(S3)P(S4)
(47)A.V(S3)V(S4)和V(S6)
B.P(S3)P(S4)和V(S6)
C.P(S3)V(S4)和V(S6)
D.P(S3)V(S4)和P(S6)
(48)A.V(S5)和V(S7)
B.P(S5)和P(S7)
C.P(S5)和V(S7)
D.V(S5)和P(S7)
●某系統采用請求頁式存儲管理方案,假設某進程有6個頁面,系統給該進程分配了4個存儲塊,其頁面變換表如下表所示,表中的狀態位等于1和0分別表示頁面在內存或不在內存。當該進程訪問的第3號頁面不在內存時,應該淘汰表中頁面號為__(49)__的頁面。

(49)A.0
B.2
C.4
D.5
●某風險投資公司擁有的總資金數為25,分期為項目P1、P2、P3、P4投資,各項目投資情況如下表所示。公司的可用資金數為__(50)__。若P1和P3分別申請資金數1和2,則公司資金管理處__(51)__。

(50)A.0
B.1
C.2
D.3
(51)A.只能先為項目P1進行投資,因為投資后公司資金周轉狀態是安全的
B.只能先為項目P3進行投資,因為投資后公司資金周轉狀態是安全的
C.可以同時為項目P1、P3進行投資,因為投資后公司資金周轉狀態是安全的
D.不能先為項目P3進行投資,因為投資后公司資金周轉狀態是不安全的
●某部門邀請3位專家對12個項目進行評選,每個專家選了5個項目。評選的結果中,有a個項目被3人都選中,有b個項目被2個選中,有c個項目被1人選中,有2個項目無人選中。據此,可以推斷__(52)__。
(52)A.a>2
B.b>5
C.b為偶數
D.c≥a+b
●設甲乙丙三人獨立解決某個問題的概率分別為0.45、0.55、0.6,則三人一起解決該問題的概率約為__(53)__。
(53)A.0.53
B.0.7
C.0.8
D.0.9
●某廠準備生產甲、乙、丙三種產品,生產每件產品所需的A、B兩種原料數量,能獲得的利潤,以及工廠擁有的原料數量如下表:

根據該表,只要安排好生產計劃,就能獲得最大利潤__(54)__萬元。
(54)A.25
B.26
C.27
D.28
●某工程項目包括8個作業A~H。各作業的緊前作業、所需天數、所需人數見下表:

該項目共有10人,各作業必須連續進行,至少需要__(55)__天才能完成。
(55)A.11
B.12
C.13
D.14
●下面的網絡圖表示從城市A到城市B運煤的各種路線。各線段上的數字表示該線段運煤所需的費用(百元/車)。城市A有三個裝貨點,城市B有三個卸貨點,各點旁標注的數字表示裝/卸煤所需的費用(百元/車)。根據該圖,從城市A的一個裝卸點經過一條路線到城市B的一個卸貨點所需的裝、運、卸總費用至少為__(56)__(百元/車)。

(56)A.19
B.20
C.21
D.22
●某批發站準備向甲、乙、丙、丁四家小商店供應5箱商品。批發站能取得的利潤(單位:百元)與分配的箱數有關(見下表)。
批發站為取得最大總利潤,應分配__(57)__。

(57)A.給甲、丙各1箱
B.給乙2箱
C.給丙2箱
D.給丁2箱
●流水線技術是通過并行硬件來提高系統性能的常用方法。對于一個k段流水線,假設其各段的執行時間均相等(設為t),輸入到流水線中的任務是連續的理想情況下,完成n個連續任務需要的總時間為__(58)__。若某流水線浮點加法運算器分為5段,所需要的時間分別是6ns、7ns、8ns、9ns和6ns,則其最大加速比為__(59)__。
(58)A.nkt
B.(k+n-1)t
C.(n-k)kt
D.(k+n+1)t
(59)A.4
B.5
C.6
D.7
●總線規范會詳細描述總線各方面的特性,其中__(60)__特性規定了總線的線數,以及總線的插頭、插座的形狀、尺寸和信號線的排列方式等要素。總線帶寬定義為總線的最大數據傳輸速率,即每秒傳輸的字節數。假設某系統總線在一個總周期中并行傳輸4B信息,一個總線周期占用2個時鐘周期,總線時鐘頻率為10MHz,則總線帶寬為__(61)__Mbps。
(60)A.物理
B.電氣
C.功能
D.時間
(61)A.20
B.40
C.60
D.80
●以下壓縮音頻編碼方法,__(62)__編碼使用了心理聲學模型,從而實現了高效率的數字音頻壓縮。
(62)A.PCM
B.MPEG音頻
C.ADPCM
D.LPC
●彩色視頻信號數字化的過程中,利用圖像子采樣技術通過降低對__(63)__的采樣頻率,以達到減少數據量的目的。
(63)A.亮度信號
B.飽和度信號
C.同步信號
D.色度信號
●在地面上相距2000公里的兩地之間利用電纜傳輸4000比特長的數據包,數據速率為64kb/s,從開始發送到接收完成需要的時間為__(64)__。
(64)A.48ms
B.640ms
C.62.5ms
D.72.5ms
●ICMP協議屬于英特網中的__(65)__協議,ICMP協議數據單元封裝在__(66)__中傳送。
(65)A.數據鏈路層
B.網絡層
C.傳輸層
D.會話層
(66)A.以太幀
B.TCP段
C.UDP數據報
D.IP數據報
●假設網絡的生產管理系統采用B/S工作方式,經常上網的用戶數為100個,每個用戶每分鐘產生11個事務處理,平均每個事務處理的數據量大小為0.06MB,則這個系統需要的信息傳輸速率為__(67)__。
(67)A.5.28Mb/s
B.8.8Mb/s
C.66Mb/s
D.528Mb/s
●中國自主研發的3G通信標準是__(68)__。
(68)A.CDMA2000
B.TD-SCDMA
C.WCDMA
D.WiMAX
●網絡系統設計過程中,物理網絡設計階段的任務是__(69)__。
(69)A.依據邏輯網絡設計的要求,確定設備的具體物理分布和運行環境
B.分析現有網絡和新網絡的各類資源分布,掌握網絡所處的狀態
C.根據需求規范和通信規范,實施資源分配和安全規劃
D.理解網絡應該具有的功能和性能,最終設計出符合用戶需求的網絡
●2014年1月,由于DNS根服務器被攻擊,國內許多互聯網用戶無法訪問.com域名網站,這種惡意攻擊可能造成的危害是__(70)__。
(70)A.創造條件,攻擊相應的服務器
B.快速入侵互聯網用戶的計算機
C.將正常網站的域名解析到錯誤的地址
D.以上都是
●A requirement is simply a statement of what the system must do or what characteristics it needs to have.Requirements written from the perspective of user and focus on user needs are called __(71)__.Requirements written from the developer's perspective and describe how the system will be implemented are called __(72)__.Requirements evolve from detailed statemens of business capabilities that a system should have to detailed statements of the technical way in which the capabilities will be implemented in the new system.Requirements can be either functional or nofunctional in nature.For example,during the analysis phase of travel vehicles sales system,the system that must have the ability to search for available inventory is __(73)__.The requirement that the system should be able to work on any Web browser belongs to __(74)__.That customer personal information is protected in compliance with the Data Protection Act is a requirement of __(75)__.
(71)A.operational requirements
B.business requirements
C.technical requirements
D.system requirements
(72)A.operational requirements
B.business requirements
C.technical requirements
D.system requirements
(73)A.a functional requirements
B.a technical requirements
C.an operational requirements
D.a service requirements
(74)A.functional requirements
B.technical requirements
C.operational requirements
D.information requirements
(75)A.system constraint
B.system performance
C.secrity and control
D.cultural and political
軟考科目怎么選?
微信掃碼下方二維碼找答案
▼ ▼ ▼
熱門:信息系統監理師備考 | 網絡工程師備考 | 軟件設計師備考
推薦:信息系統項目管理師網絡課堂 | 2026年軟考報名時間及入口匯總表
課程:信息系統項目管理師報考指南 | PMP課程
軟考備考資料免費領取
去領取
專注在線職業教育25年