摘要:以下為2010年系統架構設計師考試上午真題,含綜合知識全部75道題,供大家參考學習。更多軟考真題答案與解析,請進入希賽網在線題庫查看。
以下為2010年系統架構設計師考試上午真題,含綜合知識全部75道題,供大家參考學習。
采用微內核結構的操作系統提高了系統的靈活性和可擴展性,(1)。
A.并增強了系統的可靠性和可移植性,可運行于分布式系統中
B.并增強了系統的可靠性和可移植性,但不適用于分布式系統
C.但降低了系統的可靠性和可移植性,可運行于分布式系統中
D.但降低了系統的可靠性和可移植性,不適用于分布式系統
若操作系統文件管理程序正在將修改后的(2)文件寫回磁盤時系統發生崩潰,對系統的影響相對較大。
A.用戶數據
B.用戶程序
C.系統目錄
D.空閑塊管理
某虛擬存儲系統采用最近最少使用(LRU)頁面淘汰算法,假定系統為每個作業分配4個頁面的主存空間,其中一個頁面用來存放程序。現有某作業的程序如下:
Var A:Array[1..100,1..100]OF integer;
i,j:integer;
FOR i:=1 to 100 DO
FOR j:=1 to 100 DO
A[i,j]:=0;
設每個頁面可存放200個整數變量,變量i、j存放在程序頁中。初始時,程序及i、j均已在內存,其余3頁為空。若矩陣A按行序存放,那么當程序執行完后共產生(3)次缺頁中斷;若矩陣A按列序存放,那么當程序執行完后共產生(4)次缺頁中斷。
(3)A.50
B.100
C.5000
D.10000
(4)A.50
B.100
C.5000
D.10000
在數據庫設計的(5)階段進行關系規范化。
A.需求分析
B.概念設計
C.邏輯設計
D.物理設計
某數據庫中有員工關系E(員工號,姓名,部門,職稱,月薪);產品關系P(產品號,產品名稱,型號,尺寸,顏色);倉庫關系W(倉庫號,倉庫名稱,地址,負責人);庫存關系I(倉庫號,產品號,產品數量)。
a.若數據庫設計中要求:
①倉庫關系W中的“負責人”引用員工關系的員工號
②庫存關系I中的“倉庫號,產品號”惟一標識I中的每一個記錄
③員工關系E中的職稱為“工程師”的月薪不能低于3500元
則①②③依次要滿足的完整性約束是(6)。
b.若需得到每種產品的名稱和該產品的總庫存量,則對應的查詢語句為:
SELELCT產品名稱,SUM(產品數量
FROM P,I
WHERE P.產品號=I.產品號(7);
(6)A.實體完整性、參照完整性、用戶定義完整性
B.參照完整性、實體完整性、用戶定義完整性
C.用戶定義完整性、實體完整性、參照完整性
D.實體完整性、用戶定義完整性、參照完整性
(7)A.ORDER BY產品名稱
B.ORDER BY產品數量
C.GROUP BY產品名稱
D.GROUP BY產品數量
若對關系R(A,B,C,D)和S(C,D,E)進行關系代數運算,則表達式
與(8)等價。
A.
B.
C.
D.
計算機執行程序時,在一個指令周期的過程中,為了能夠從內存中讀指令操作碼,首先是將(9)的內容送到地址總線上。
A.程序計數器PC
B.指令寄存器IR
C.狀態寄存器SR
D.通用寄存器GR
內存按字節編址,利用8K×4bit的存儲器芯片構成84000H到8FFFFH的內存,共需(10)片。
A.6
B.8
C.12
D.24
某磁盤磁頭從一個磁道移至另一個磁道需要10ms。文件在磁盤上非連續存放,邏輯上相鄰數據塊的平均移動距離為10個磁道,每塊的旋轉延遲時間及傳輸時間分別為100ms和2ms,則讀取一個100塊的文件需要(11)ms的時間。
A.10200
B.11000
C.11200
D.20200
計算機系統中,在(12)的情況下一般應采用異步傳輸方式。
A.CPU訪問內存
B.CPU與I/O接口交換信息
C.CPU與PCI總線交換信息
D.I/O接口與打印機交換信息
大型局域網通常劃分為核心層、匯聚層和接入層,以下關于各個網絡層次的描述中,不正確的是(13)。
A.核心層進行訪問控制列表檢查
B.匯聚層定義了網絡的訪問策略
C.接入層提供局域網絡接入功能
D.接入層可以使用集線器代替交換機
網絡系統設計過程中,邏輯網絡設計階段的任務是(14)。
A.依據邏輯網絡設計的要求,確定設備的物理分布和運行環境
B.分析現有網絡和新網絡的資源分布,掌握網絡的運行狀態
C.根據需求規范和通信規范,實施資源分配和安全規劃
D.理解網絡應該具有的功能和性能,設計出符合用戶需求的網絡
網絡系統生命周期可以劃分為5個階段,實施這5個階段的合理順序是(15)。
A.需求規范、通信規范、邏輯網絡設計、物理網絡設計、實施階段
B.需求規范、邏輯網絡設計、通信規范、物理網絡設計、實施階段
C.通信規范、物理網絡設計、需求規范、邏輯網絡設計、實施階段
D.通信規范、需求規范、邏輯網絡設計、物理網絡設計、實施階段
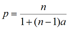
假設單個CPU的性能為1,則由n個這種CPU組成的多處理機系統的性能P為:

其中,a是一個表示開銷的常數。例如,a=0.1,n=4時,P約為3。也就是說,由4個這種CPU組成的多機系統的性能約為3。該公式表明,多機系統的性能有一個上限,不管n如何增加,P都不會超過某個值。當a=0.1時,這個上限是(16)。
A.5
B.10
C.15
D.20
以下關于系統性能的敘述中,不正確的是(17)。
A.常見的Web服務器性能評估方法有基準測試、壓力測試和可靠性測試
B.評價Web服務器的主要性能指標有最大并發連接數、響應延遲和吞吐量
C.對運行系統進行性能評估的主要目的是以更好的性能/價格比更新系統
D.當系統性能降到基本水平時,需要查找影響性能的瓶頸并消除該瓶頸
某大型公司欲開發一個門戶系統,該系統以商業流程和企業應用為核心,將商業流程中不同的功能模塊通過門戶集成在一起,以提高公司的集中貿易能力、協同能力和信息管理能力。根據這種需求,采用企業(18)門戶解決方案最為合適。
A.信息
B.知識
C.應用
D.垂直
客戶關系管理(CRM)系統將市場營銷的科學管理理念通過信息技術的手段集成在軟件上,能夠幫助企業構建良好的客戶關系。以下關于CRM系統的敘述中,錯誤的是(19)。
A.銷售自動化是CRM系統中最基本的模塊
B.營銷自動化作為銷售自動化的補充,包括營銷計劃的編制和執行、計劃結果分析等
C.CRM系統能夠與ERP系統在財務、制造、庫存等環節進行連接,但兩者關系相對松散,一般不會形成閉環結構
D.客戶服務與支持是CRM系統的重要功能。目前,客戶服務與支持的主要手段是通過呼叫中心和互聯網來實現
詳細的項目范圍說明書是項目成功的關鍵。(20)不應該屬于范圍定義的輸入。
A.項目章程
B.項目范圍管理計劃
C.批準的變更申請
D.項目文檔管理方案
項目時間管理包括使項目按時完成所必需的管理過程,活動定義是其中的一個重要過程。通常可以使用(21)來進行活動定義。
A.魚骨圖
B.工作分解結構(WBS)
C.層次分解結構
D.功能分解圖
在實際的項目開發中,人們總是希望使用自動工具來執行需求變更控制過程。下列描述中,(22)不是這類工具所具有的功能。
A.可以定義變更請求的數據項以及變更請求生存期的狀態轉換圖
B.記錄每一種狀態變更的數據,確認做出變更的人員
C.可以加強狀態轉換圖使經授權的用戶僅能做出所允許的狀態變更
D.定義變更控制計劃,并指導設計入員按照所制定的計劃實施變更
需求管理是CMM可重復級中的6個關鍵過程域之一,其主要目標是(23)。
A.對于軟件需求,必須建立基線以進行控制,軟件計劃、產品和活動必須與軟件需求保持一致
B.客觀地驗證需求管理活動符合規定的標準、程序和要求
C.策劃軟件需求管理的活動,識別和控制已獲取的軟件需求
D.跟蹤軟件需求管理的過程、實際結果和執行情況
在RUP中采用“4+1”視圖模型來描述軟件系統的體系結構。在該模型中,最終用戶側重于(24),系統工程師側重于(25)。
(24)A.實現視圖
B.進程視圖
C.邏輯視圖
D.部署視圖
(25)A.實現視圖
B.進程視圖
C.邏輯視圖
D.部署視圖
(26)把整個軟件開發流程分成多個階段,每一個階段都由目標設定、風險分析、開發和有效性驗證以及評審構成。
A.原型模型
B.瀑布模型
C.螺旋模型
D.V模型
軟件開發環境是支持軟件產品開發的軟件系統,它由軟件工具集和環境集成機制構成。環境集成機制包括:提供統一的數據模式和數據接口規范的數據集成機制;支持各開發活動之間通信、切換、調度和協同的(27);為統一操作方式提供支持的(28)。
(27)A.操作集成機制
B.控制集成機制
C.平臺集成機制
D.界面集成機制
(28)A.操作集成機制
B.控制集成機制
C.平臺集成機制
D.界面集成機制
軟件的橫向重用是指重用不同應用領域中的軟件元素。(29)是一種典型的、原始的橫向重用機制。
A.對象
B.構件
C.標準函數庫
D.設計模式
下列關于不同軟件開發方法所使用的模型的描述中,正確的是(30)。
A.在進行結構化分析時,必須使用數據流圖和軟件結構圖這兩種模型
B.采用面向對象開發方法時,可以使用狀態圖和活動圖對系統的動態行為進行建模
C.實體聯系圖(E-R圖)是在數據庫邏輯結構設計時才開始創建的模型
D.UML的活動圖與程序流程圖的表達能力等價
某銀行系統采用Factory Method方法描述其不同賬戶之間的關系,設計出的類圖如下所示。其中與Factory Method中的“Creator”角色相對應的類是(31);與“Product”角色相對應的類是(32)。

(31)A.Bank
B.Account
C.Checking
D.Savings
(32)A.Bank
B.Account
C.Checking
D.Savings
某公司欲對其內部的信息系統進行集成,需要實現在系統之間快速傳遞可定制格式的數據包,并且當有新的數據包到達時,接收系統會自動得到通知。另外還要求支持數據重傳,以確保傳輸的成功。針對這些集成需求,應該采用(33)的集成方式。
A.遠程過程調用
B.共享數據庫
C.文件傳輸
D.消息傳遞
(34)是一個獨立可交付的功能單元,外界通過接口訪問其提供的服務。
A.面向對象系統中的對象(Object)
B.模塊化程序設計中的子程序(Subroutine)
C.基于構件開發中的構件(Component)
D.系統模型中的包(Package)
共享數據庫是一種重要的企業應用集成方式。以下關于共享數據庫集成方式的敘述中,錯誤的是(35)。
A.共享數據庫集成方式通常將應用程序的數據存儲在一個共享數據庫中,通過制定統一的數據庫模式來處理不同應用的集成需求
B.共享數據庫為不同的應用程序提供了統一的數據存儲與格式定義,能夠解決不同應用程序中數據語義不一致的問題
C.多個應用程序可能通過共享數據庫頻繁地讀取和修改相同的數據,這會使共享數據庫成為一個性能瓶頸
D.共享數據庫集成方式的一個重要限制來自外部的已封裝應用,這些封裝好的應用程序只能采用自己定義的數據庫模式,調整和集成余地較小
在基于構件的軟件開發中,(36)描述系統設計藍圖以保證系統提供適當的功能;(37)用來了解系統的性能、吞吐率等非功能性屬性。
(36)A.邏輯構件模型
B.物理構件模型
C.組件接口模型
D.系統交互模型
(37)A.邏輯構件模型
B.物理構件模型
C.組件接口模型
D.系統交互模型
對象管理組織(OMG)基于CORBA基礎設施定義了四種構件標準。其中,(38)的狀態信息是由構件自身而不是由容器維護。
A.實體構件
B.加工構件
C.服務構件
D.會話構件
分布式系統開發中,通常需要將任務分配到不同的邏輯計算層。業務數據的綜合計算分析任務屬于(39)。
A.表示邏輯層
B.應用邏輯層
C.數據處理層
D.數據層
在客戶機/服務器系統開發中,采用(40)時,應將數據層和數據處理層放置于服務器,應用邏輯層、表示邏輯層和表示層放置于客戶機。
A.分布式表示結構
B.分布式應用結構
C.分布式數據和應用結構
D.分布式數據結構
系統輸入設計中,采用內部控制方式以確保輸入系統數據的有效性,(41)用于驗證數據是否位于合法的取值范圍。
A.數據類型檢查
B.自檢位
C.域檢查
D.格式檢查
系統測試由若干個不同的測試類型組成,其中(42)檢查系統能力的較高實際限度,即軟件在一些超負荷情況下的運行情況;(43)主要是檢查系統的容錯能力。
(42)A.強度測試
B.性能測試
C.恢復測試
D.可靠性測試
(43)A.強度測試
B.性能測試
C.恢復測試
D.可靠性測試
軟件架構是降低成本、改進質量、按時和按需交付產品的關鍵因素。以下關于軟件架構的描述,錯誤的是(44)。
A.根據用戶需求,能夠確定一個最佳的軟件架構,指導整個軟件的開發過程
B.軟件架構設計需要滿足系統的質量屬性,如性能、安全性和可修改性等
C.軟件架構設計需要確定組件之間的依賴關系,支持項目計劃和管理活動
D.軟件架構能夠指導設計入員和實現人員的工作
軟件架構設計包括提出架構模型、產生架構設計和進行設計評審等活動,是一個迭代的過程。以下關于軟件架構設計活動的描述,錯誤的是(45)。
A.在建立軟件架構的初期,一般需要選擇一個合適的架構風格
B.將架構分析階段已標識的構件映射到架構中,并分析這些構件之間的關系
C.軟件架構設計活動將已標識構件集成到軟件架構中,設計并實現這些構件
D.一旦得到了詳細的軟件架構設計,需要邀請獨立于系統開發的外部人員對系統進行評審
基于軟件架構的設計(Architecture Based Software Development,ABSD)強調由商業、質量和功能需求的組合驅動軟件架構設計。它強調采用(46)來描述軟件架構,采用(47)來描述需求。
(46)A.類圖和序列圖
B.視角與視圖
C.構件和類圖
D.構件與功能
(47)A.用例與類圖
B.用例與視角
C.用例與質量場景
D.視角與質量場景
某游戲公司欲開發一個大型多人即時戰略游戲,游戲設計的目標之一是能夠支持玩家自行創建戰役地圖,定義游戲對象的行為和之間的關系。針對該目標,公司應該采用(48)架構風格最為合適。
A.管道-過濾器
B.隱式調用
C.主程序-子程序
D.解釋器
某公司欲為某種型號的示波器開發內置軟件。該公司的架構師設計了如下圖所示的軟件架構。在軟件架構評審時,希賽網認為該架構存在的問題是(49)。

A.在功能劃分上將各個模塊獨立起來
B.在硬件構件的混合和替換方面不是很靈活
C.沒有清晰地說明用戶怎樣與其交互
D.沒有明確的層次關系,沒有強調功能之間的交互
某公司承接了一個開發家用空調自動調溫器的任務,調溫器測量外部空氣溫度,根據設定的期望溫度控制空調的開關。根據該需求,公司應采用(50)架構風格最為合適。
A.解釋器
B.過程控制
C.分層
D.管道-過濾器
某公司欲開發一個漫步者機器人,用來完成火星探測任務。機器人的控制者首先定義探測任務和任務之間的時序依賴性,機器人接受任務后,需要根據自身狀態和外界環境進行動態調整,最終自動完成任務。針對這些需求,該機器人應該采用(51)架構風格最為合適。
A.解釋器
B.主程序-子程序
C.隱式調用
D.管道-過濾器
某公司欲開發一個語音識別系統,語音識別的主要過程包括分割原始語音信號、識別音素、產生候選詞、判定語法片斷、提供語義解釋等。每個過程都需要進行基于先驗知識的條件判斷并進行相應的識別動作。針對該系統的特點,采用(52)架構風格最為合適。
A.解釋器
B.面向對象
C.黑板
D.隱式調用
特定領域軟件架構(DSSA)是在一個特定應用領域為一組應用提供組織結構參考的標準軟件架構。實施DSSA的過程中包括一系列基本的活動,其中(53)活動的主要目的是為了獲得DSSA。該活動參加人員中,(54)的主要任務是提供關于領域中系統的需求規約和實現的知識。
(53)A.領域需求
B.領域分析
C.領域設計
D.領域實現
(54)A.領域希賽網
B.領域分析者
C.領域設計者
D.領域實現者
某服務器軟件系統對可用性(Availability)、性能(Performance)和可修改性(Modification)的要求較高,(55)設計策略能提高該系統的可用性,(56)設計策略能夠提高該系統的性能,(57)設計策略能夠提高該系統的可修改性。
(55)A.Ping/Echo
B.限制訪問
C.運行時注冊
D.接口-實現分離
(56)A.分層結構
B.事務機制
C.主動冗余
D.隊列調度
(57)A.信息隱藏
B.記錄/回放
C.任務模型
D.回滾
某服務器軟件系統能夠正確運行并得出計算結果,但存在“系統出錯后不能在要求的時間內恢復到正常狀態”和“對系統進行二次開發時總要超過半年的時間”兩個問題,上述問題依次與質量屬性中的(58)相關。
A.可用性和性能
B.性能和可修改性
C.性能和可測試性
D.可用性和可修改性
某公司欲開發一個軟件系統的在線文檔幫助系統,用戶可以在任何一個查詢上下文中輸入查詢關鍵字,如果當前查詢環境下沒有相關內容,則系統會將查詢按照一定的順序轉發給其他查詢環境。基于上述需求,采用(59)最為合適。
A.責任鏈模式
B.橋接模式
C.裝飾模式
D.適配器模式
某公司欲開發一套窗體圖形界面類庫。該類庫需要包含若干預定義的窗格(Pane)對象,例如TextPane、ListPane等,窗格之間不允許直接引用。基于該類庫的應用由一個包含一組窗格的窗口組成,并需要協調窗格之間的行為。基于該類庫,在不引用窗格的前提下實現窗格之間的協作,應用開發者應采用(60)最為合適。
A.備忘錄模式
B.中介者模式
C.訪問者模式
D.迭代器模式
某公司開發一個文檔編輯器,該編輯器允許在文檔中直接嵌入圖形對象,但開銷很大。用戶在系統設計之初提出編輯器在打開文檔時必須十分迅速,可以暫時不顯示當前頁面以外的圖形。針對這種需求,公司可以采用(61)避免同時創建這些圖形對象。
A.代理模式
B.外觀模式
C.橋接模式
D.組合模式
正確識別風險點、非風險點、敏感點和權衡點是進行軟件架構評價的關鍵步驟。其中(62)是實現一個特定質量屬性的關鍵特征,該特征為一個或多個軟件構件所共有。“改變加密的級別可能會對安全性和性能都產生顯著的影響”,這是一個對系統(63)的描述。
(62)A.風險點
B.非風險點
C.敏感點
D.權衡點
(63)A.風險點
B.非風險點
C.敏感點
D.權衡點
所謂網絡安全漏洞是指(64)。
A.用戶的誤操作引起的系統故障
B.網絡節點的系統軟件或應用軟件在邏輯設計上的缺陷
C.網絡硬件性能下降產生的缺陷
D.網絡協議運行中出現的錯誤
ARP攻擊造成網絡無法跨網段通信的原因是(65)。
A.發送大量ARP報文造成網絡擁塞
B.偽造網關ARP報文使得數據包無法發送到網關
C.ARP攻擊破壞了網絡的物理連通性
D.ARP攻擊破壞了網關設備
《GB 8567-88計算機軟件產品開發文件編制指南》是(66)標準,違反該標準而造成不良后果時,將依法根據情節輕重受到行政處罰或追究刑事責任。
A.強制性
B.推薦性
C.強制性軟件行業
D.推薦性軟件行業
某軟件企業開發了一套能夠同硬件結合以提高設備性能的軟件產品,向專利局申請方法發明專利,獲得了專利權,并為該軟件產品冠以“昆侖”商品專用標識,但未進行商標注冊上市銷售。此情況下,該軟件產品不可能得到我國(67)的保護。
A.著作權法
B.專利法
C.商標法
D.刑法
張某是M國際運輸有限公司計算機系統管理員。任職期間,根據公司的業務要求開發了“空運出口業務系統”,并由公司使用。隨后,張某向版權局申請了計算機軟件著作權登記,并取得了《計算機軟件著作權登記證書》,證書明確軟件名稱是“空運出口業務系統V1.0”,著作權人為張某。以下說法中,正確的是(68)。
A.空運出口業務系統V1.0的著作權屬于張某
B.空運出口業務系統V1.0的著作權屬于M公司
C.空運出口業務系統V1.0的著作權屬于張某和M公司
D.張某獲取的軟件著作權登記證是不可以撤銷的
對實際應用問題建立數學模型并求得結果后,還需要根據建模的目的和要求,利用相關知識,結合研究對象的特點,進行模型分析。模型分析工作一般不包括(69)。
A.模型的合理性分析
B.模型的誤差分析
C.模型的先進性分析
D.參數的靈敏性分析
某軟件公司開發某種軟件產品時花費的固定成本為16萬元,每套產品的可變成本為2元,設銷售單價為10元,則需要銷售(70)套才能達到盈虧平衡點。
A.13000
B.16000
C.18000
D.20000
The software architecture is a set of software components,subsystems,relationships,interactions,the properties of each of these elements,and the set of guiding principles that together constitute the fundamental properties and constraints of a software system or set of systems.(71)defines a general set of element types and their interactions.The examples include Pipes and Filters,Model-View-Controller,and Reflection.A(72)in software architecture is a representation used to understand or document one or more aspects of a problem or solution.Architecture is usually used in conjunction with many adjunct terms.The(73)defines the key strategies,organization,goals and related processes of the enterprise.At the enterprise level,the(74)may be more of a set of guidelines on how the various software architectures should be constructed consistently across the enterprise.The(75),which describes the high-level set of elements involved in application from a particular domain along with their interactions,is often used to focus on subsystem definition rather than application process level definition.
(71)A.Architectural pattern
B.Architectural description
C.Architectural view
D.Architectural viewpoint
(72)A.model
B.domain
C.component
D.subsystem
(73)A.enterprise architecture
B.technical architecture
C.infrastructure architecture
D.business architecture
(74)A.enterprise architecture
B.data architecture
C.application architecture
D.information architecture
(75)A.product-line architecture
B.reference architecture
C.technology architecture
D.infrastructure architecture
軟考科目怎么選?
微信掃碼下方二維碼找答案
▼ ▼ ▼
熱門:信息系統監理師備考 | 網絡工程師備考 | 軟件設計師備考
推薦:信息系統項目管理師網絡課堂 | 2026年軟考報名時間及入口匯總表
課程:信息系統項目管理師報考指南 | PMP課程
軟考備考資料免費領取
去領取
專注在線職業教育25年