摘要:2016年下半年軟件設計師考試上午真題第二部分。
>>>【希賽】2016年下半年軟考分數早知道,希賽網解析真題
軟考歷年真題是考生備考的法寶,希賽軟考網整理了2016年下半年軟件設計師考試真題之上午題,供大家參考學習。以下為2016年下半年軟件設計師上午真題第二部分。
21.常用的函數參數傳遞方式有傳值與傳引用兩種()。
A.在傳值方式下,形參與實參之間互相傳值
B.在傳值方式下,實參不能是變量
C.在傳引用方式下,修改形參實質上改變了實參的值。
D:在傳引用方式下,實參可以是任意的變量和表達式。
22.二維數組a[1..N,1..n]可以按行存儲或按列存儲。對于數組元素a[i,j](1=<i,j<=N),當()時,在按行和按列兩種存儲方式下,其偏移量相同。
A.i≠j
B.i=j
C.i>j
D.i<j
23.實時操作系統主要用于有實時要求的過程控制等領域。實時系統對于來自外部的事件必須在()。
A.一個時間片內進行處理
B.一個周轉時間內進行處理
C.一個機器周期內進行處理
D.被控對象規定的時間內做出及時響應并對其進行處理
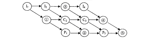
假設某計算機系統中只有一個CPU、一臺輸入設備和一臺輸出設備,若系統中有四個作業T1.T2.T3和T4,系統采用優先級調度,且T1的優先級>T2的優先級>T3的優先級>T4的優先級。每個作業Ti具有三個程序段:輸入Ii、計算Ci和輸出Pi(i=1,2,3,4),其執行順序為Ii--Ci-+Pi.這四個作業各程序段并發執行的前驅圖如下所示。圖中①、②分別為(24),③、④、⑤分別為(25)。

24:
A.l2、P2
B.l2、C2
C.C1、P2
D.C1、P3
25:
A.C2、C4、P4
B.l2、l3、C4
C.13、P3、P4
D.l3、C4、P4
26.假設段頁式存儲管理系統中的地址結構如下圖所示,則系統()。
31 2423 1312 0

A.最多可有256個段,每個段的大小均為2048個頁,頁的大小為8K
B.最多可有256個段,每個段最大允許有2048個頁,頁的大小為8K
C.最多可有5 1 2個段,每個段的大小均為1 024個頁,頁的大小為4K
D.最多可有5 1 2個段,每個段最大允許有1 024個頁,頁的大小為4K
27.假設系統中有n個進程共享3臺掃描儀,并采用PV操怍實現進程同步與互斥。若系統信號量S的當前值為一l,進程Pl.P2又分別執行了1次P(S)操作,那么信號量S的值應為()。
A.3
B.-3
C.1
D.-1
28.某字長為32位的計算機的文件管理系統采用位示圖(bitmap)記錄磁盤的使用情況。若磁盤的容量為300GB,物理塊的大小為1MB,那么位示圖的大小為()個字。
A.1200
B.3200
C.6400
D.9600
某開發小組欲為一公司開發一個產品控制軟件,監控產品的生產和銷售過程,從購買各種材料開始,到產品的加工和銷售進行全程跟蹤。購買材料的流程、產品的加工過程以及銷售過程可能會發生變化。該軟件的開發最不適宜采用(29)模型,主要是因為這種模型(30)。
29:
A.瀑布
B.原型
C.增量
D.噴泉
30:
A.不能解決風險
B.不能快速提交軟件
C.難以適應變化的需求
D.不能理解用戶的需求
31.()不屬于軟件質量特性中的可移植性。
A.適應性
B.易安裝性
C.易替換性
D.易理解性
對下圖所示流程圖采用白盒測試方法進行測試,若要滿足路徑覆蓋,則至少需要(32)個測試用例。采用McCabe度量法計算該程序的環路復雜性為(33)。

32:
A.3
B.4
C.6
D.8
33:
A.1
B.2
C.3
D.4
34.計算機系統()可以用MTBF/(1+MTBF)來度量,其中MTBF為平均失效間隔時間。
A.可靠性
B.可用性
C.可維護性
D.健壯性
35.以下關于軟件測試的敘述中,不正確的是()。
A.在設計測試用例時應考慮輸入數據和預期輸出結果
B.軟件測試的目的是證明軟件的正確性
C.在設計測試用例時,應該包括合理的輸入條件
D.在設計測試用例時,應該包括不合理的輸入條件
36.某模塊中有兩個處理A和B,分別對數據結構X寫數據和讀數據,則該模塊的內聚類型為()內聚。
A.邏輯
B.過程
C.通信
D.內容
37.在面向對象方法中,不同對象收到同一消息可以產生完全不同的結果,這一現象稱為()在使用時,用戶可以發送一個通用的消息,而實現的細節則由接收對象自行決定。
A.接口
B.繼承
C.覆蓋
D.多態
38.在面向對象方法中,支持多態的是()。
A.靜態分配
B.動態分配
C.靜態類型
D.動態綁定
39.面向對象分析的目的是為了獲得對應用問題的理解,其主要活動不包括()。
A.認定并組織對象
B.描述對象間的相互作用
C.面向對象程序設計
D.確定基于對象的操作
40.如下所示的切帆狀態圖中,()時,不一定會離開狀態B。

A.狀態B中的兩個結束狀態均達到
B.在當前狀態為B2時,事件e2發生
C.事件e2發生
D.事件e1發生
>>>返回目錄:2016年下半年軟件設計師考試真題(上午題)
相關推薦:
軟考不知道考啥科目?掃碼測最適合你的報考科目

通關資源:軟考各科歷年真題 | 各科學習資料匯總 | 在線試題庫【點擊刷題】
免費課程:系統架構設計師報考指南 | 2026年高項備考指導課及精講試聽
熱門活動: 新年新起點,大額滿減有驚喜![]()
軟考備考資料免費領取
去領取
專注在線職業教育25年