摘要:2010年一建建筑實務真題_2010年一級建造師建筑實務考試真題及答案解析(完整版)。在線題庫海量試題等你來測試?。。?/p>
2010年一建建筑實務真題_2010年一級建造師建筑實務考試真題及答案解析(完整版)。在線題庫海量試題等你來測試!!!在線題庫海量試題等你來測試?。。?/strong>
一、單項選擇題(共20題,每題1分。每題的備選項中,只有1個最符合題意)
1.在建筑結構中,從基礎到上部結構全部斷開的變形縫是( )。
A.伸縮縫
B.沉降縫
C.防震縫
D.溫度縫
【答案】B
【解析】參見教材P9。
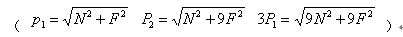
2.如圖所示,Pl、P2分別為兩個相互垂直力的合力。關于P1、P2的關系,正確的是( )。

A.P1=P2
B.P2=3P1
C.P1
D.P2>3P1

【答案】C
【解析】參見教材P9。
3.下列常見建筑結構體系中,適用房屋建筑高度較高的結構體系是( )。
A.框架
B.剪力墻
C.框架一剪力墻
D.筒體
【答案】D
【解析】參見教材P16。
4.大跨度混凝土拱式結構建(構)筑物,主要利用了混凝土良好的( )。
A.抗剪性能
B.抗彎性能
C.抗拉性能
D.抗壓性能
【答案】D
【解析】參見教材P19。
5.關于建筑物體形系數和耗熱量比值的關系,正確的是( )。
A.體形系數越大,耗熱量比值越大
B.體形系數越大,耗熱量比值越小
C.體形系數越小,耗熱量比值越大
D.耗熱量比值與體形系數無關
【答案】A
【解析】參見教材P22。
6.在混凝土工程中,配制有抗滲要求的混凝土可優先選用( )。
A.火山灰水泥
B.礦渣水泥
C.粉煤灰水泥
D.硅酸鹽水泥
【答案】A
【解析】參見教材P39。
7.節水型衛生坐便器的用水量最小應不人于( )L。
A.3
B.5
C.6
D.8
【答案】C
【解析】參見教材P55。
8.當基體含水率不超過8%時,可直接在水泥砂漿和混凝土基層上進行涂飾的是( )涂料。
A.過氯乙烯
B.苯一丙乳膠漆
C.乙一丙乳膠漆
D.丙烯酸酯
【答案】D
【解析】參見教材P69。
9.防水卷材的耐老化性指標可用來表示防水卷材的( )性能。
A.拉伸
B.大氣穩定
C.溫度穩定
D.柔韌
【答案】B
【解析】參見教材P74。
10.根據《建筑內部裝修設計防火規范))(GB50222—95),紙面石膏板屬于( ) 建筑材料。
A.不燃性
B.難燃性
C.可燃性
D.易燃性
【答案】B
【解析】參見教材P342。
考試題庫>在線??糭歷年真題_在線估分
學習包>>一級建造師備考學習包 經濟+管理+法規+建筑實務 全套復習資料+視頻教程
希賽輔導:網絡課堂+課程錄播+在線答疑+真題模擬 輕松學習的秘訣就在這馬上點擊進入試聽>>
{#page#}
11.建(構)筑物的基礎沉降觀測點應埋設于( )。 P78
A.基礎底板上
B.地下室外墻上
C.首層外墻上
D.基坑邊坡上
【答案】A
【解析】參見教材P78。
12.關于基坑支護施工的說法,正確的是( )。
A.錨桿支護工程應遵循分段開挖、分段支護的原則,采取一次挖就再行支護的方式
B.設計無規定時,二級基坑支護地面最大沉降監控值應為8cm
C.采用混凝土支撐系統時,當全部支撐安裝完成后,仍應維持整個系統正常運轉直至支撐面作業完成
D.采用多道內支撐排樁墻支護的基坑,開挖后應及時支護
【答案】D
【解析】參見教材P87。
13.結構厚度不大而面積或長度較大的混凝土澆筑宜采用( )澆筑方案。
A.全面分層
B.分段分層
C.斜面分層
D.截面分層
【答案】B
【解析】參見教材P97。
14.關于加氣混凝土砌塊工程施工,正確的是( )。
A.砌筑時必須設置皮數桿,拉水準線
B.上下皮砌塊的豎向灰縫錯開不足150mm時,應在水平灰縫設置500mm長2Φ6拉結筋
C.水平灰縫的寬度宜為20mm,豎向灰縫寬度宜為15mm
D.砌塊墻的T字交接處應使用縱墻砌塊隔皮露端面,并坐中于橫墻砌塊
【答案】A
【解析】參見教材P121。
15.建筑物基坑采用釬探法驗槽時,釬桿每打入土層( )mm,應記錄一次錘擊數。
A.200
B.250
C.300
D.350
【答案】C
【解析】參見教材P92。
16.建筑型鋼結構B類防火涂料的耐火極限可達( )h。
A.0.5—1.0
B.0.5~1.5
C.0.5~2.0
D.1.5—3.0
【答案】C
【解析】參見教材P134。
17.關于輕質隔墻工程的施工做法,正確的是( )。
A.當有門洞口時,墻板安裝從墻的一端向另一端順序安裝·
B.抗震設防區的內隔墻安裝采用剛性連接
C.在板材隔墻上直接剔鑿打孔,并采取保護措施
D.在設備管線安裝部位安裝加強龍骨
【答案】D
【解析】參見教材P155。
18.當設計無要求時,關于無粘接預應力筋張拉施工的做法,正確的是( )。
A.先張拉樓面梁,后張拉樓板
B.梁中的無粘接筋可按順序張拉
C.板中的無粘接筋可按順序張拉
D.當曲線無粘接預應力筋長度超過30m時宜采用兩端張拉
【答案】C
【解析】參見教材P138。
19.吊頂工程施工中,明龍骨飾面板的安裝應符合( )的規定。 P154
A.確保企口的相互咬接及圖案花紋吻合
B.玻璃吊頂龍骨上留置的玻璃搭接應采用剛性連接
C.裝飾吸聲板嚴禁采用擱置法安裝,
D.飾面板與龍骨嵌裝時,飾面板應事先加工成坡口
【答案】A
【解析】參見教材P154。
20.《建筑裝飾裝修工程質量驗收規范 (GB 50210--2001)規定,幕墻構架立柱的連接金屬角碼與其他連接件的連接應采用( )連接。
A.鉚接
B.螺栓
C.雙面焊
D.單面焊
【答案】B
【解析】參見教材P164。
{#page#}
二、多項選擇題(共10題,每題2分。每題的備選項中,有2個或2個以上符合題意,至少有1個錯項。錯選,本題不得分;少選,所選的每個選項得0.5分)
21.關于非抗震設計的框架結構,不同部位震害程度的說法,正確的有( )。
A.柱的震害輕于梁
B.柱頂震害輕于柱底
C.角柱的震害重于內柱
D.短柱的震害重于一般柱
E.填充墻處是震害發生的嚴重部位之一
【答案】CDE
【解析】參見教材P15。
22.關于在混凝土中摻入減水劑所起的作用,正確的是( )。
A.若不減少拌合用水量,能顯著提高拌合物的流動性
B.當減水而不減少水泥時,可提高混凝土強度
C.若減水的同時適當減少水泥用量,則可節約水泥
D.混凝土的耐久性得到顯著改善
E.混凝土的安全性得到顯著提高
【答案】ABC
【解析】參見教材P47。
23.瀝青防水卷材是傳統的建筑防水材料,成本較低,但存在( )等缺點。
A.拉伸強度和延伸率低
B.溫度穩定性較差
C.低溫易流淌
D.高溫易脆裂
E.耐老化性較差
【答案】ABE
【解析】參見教材P74。
24.工程造價等于不含稅工程造價加上( )。
A.增值稅
B.營業稅
C.城市維護建設稅
D.教育費附加
E.利潤
【答案】BCD
25.關于抹灰工程的施工做法,正確的有( )。
A.對不同材料基體交接處的加強措施項目進行隱蔽驗收
B.抹灰用的石灰膏的熟化期最大不少于7天
C.設計無要求時,室內墻、柱面的陽角用1:2水泥砂漿做暗護角
D.水泥砂漿抹灰層在干燥條件下養護
E.當抹灰總厚度大于35mm時,采取加強網措施
【答案】ACE
【解析】參見教材P148。
26.關于涂飾工程基層處理,正確的有( )。
A.新建筑物的混凝土或抹灰基層在涂飾前涂刷抗堿封閉底漆
B.舊墻面在涂飾前清除疏松的舊裝修層,并刷界面劑
C.廚房、衛生間墻面采用耐水膩子
D.金屬基層表面進行防靜電處理
E.混凝土基層含水率在8~10%間時涂刷溶劑型涂料
【答案】ABC
【解析】參見教材P151。
27.關于玻璃幕墻玻璃板塊制作,正確的有( )。
A.注膠前清潔工作采用“兩次擦”的工藝進行
B.室內注膠時溫度控制在15~30℃間,相對濕度30~50%。
C.陽光控制鍍膜中空玻璃的鍍膜面朝向室內
D.加工好的玻璃板塊隨機抽取1%進行剝離試驗
E.板塊打注單組分硅酮結構密封膠后進行7~lOd的室內養護
【答案】AD
【解析】參見教材P163。
28.造成挖方邊坡大面積塌方的原因可能有( )。
A.基坑(槽)開挖坡度不夠
B.土方施工機械配置不合理
C.未采取有效的降排水措施
D.邊坡頂部堆截過大
E.開挖次序、方法不當
【答案】ACDE
【解析】參見教材P204。
29.關于一般腳手架拆除作業的安全技術措施,正確的有( )。
A.按與搭設相同的順序上下同時進行
B.先拆除上部桿件,最后松開連墻件
C.分段拆除架體高差達3步
D.及時取出、放下已松開連接的桿件
E.遇有六級及六級以上大風時,停止腳手架拆除作業
【答案】BDE
【解析】參見教材P235。
30.施工現場平面管理的依據應包括( )對施工現場的管理要求。 P292
A.政府主管部門
B.建設單位
C.上級公司
D.施工平面圖
E.行業協會
【答案】ABCD
【解析】參見教材P292。
{#page#}
三、案例分析題(共5題,(一)、(二)、(三)題各20分,(四)、(五)題各30分)
案例(一)
背景資料 :
某辦公樓工程,地下一層,地上十層,現澆鋼筋混凝土框架結構,預應力管樁基礎。建設單位與施工總承包單位簽訂了施工總承包合同,合同工期為29個月。按合同約定,施工總承包單位將預應力管樁工程分包給了符合資質要求的專業分包單位。施工總承包單位提交的施工總進度計劃如圖1-1所示(時間單位:月),該計劃通過了監理工程師的審查和確認。

合同履行過程中,發生了如下事件:
事件一:專業分包單位將管樁專項施工方案報送監理工程師審批,遭到了監理工程師拒絕。在樁基施工過程中,由于專業分包單位沒有按設計圖紙要求對管樁進行封底施工,監理工程師向施工總承包單位下達了停工令,施工總承包單位認為監理工程師應直接向專業分包單位下達停工令,拒絕簽收停工令。
事件二:在工程施工進行到第7個月時,因建設單位提出設計變更,導致G工作停止施工1個月。由于建設單位要求按期完工,施工總承包單位據此向監理工程師提出了趕工費索賠。根據合同約定,趕工費標準為18萬元/月。
事件三:在H工作開始前,為了縮短工期,施工總承包單位將原施工方案中H工作的異節奏流水施工調整為成倍節拍流水施工。原施工方案中H工作異節奏流水施工橫道圖如圖1-2所示(時間單位:月)。

問題 :
1.施工總承包單位計劃工期能否滿足合同工期要求?為保證工程進度目標,施工總承包單位應重點控制哪條施工線路?
2.事件一中,監理工程師及施工總承包單位的做法是否妥當?分別說明理由。
3.事件二中,施工總承包單位可索賠的趕工費為多少萬元?說明理由。
4.事件三中,流水施工調整后,H工作相鄰工序的流水步距為多少個月?工期可縮短多少個月?按照圖1-2格式繪制出調整后H工作的施工橫道圖。
【答案】
1、符合合同工期(2分),計劃工期為29個月的那條,1、2、3、5、6、7、8加箭線。(2分)
2、監理工程師做法妥當(1分),應為總承包編制送審(1分);監理送達總包妥當建設單位(1分),總承包做法不妥當(1分),建設單位建設單位只與總包有合同關系,和分包單位無合同關系。(1分)
3、索賠為0(2分),G工作總時差為2個月,大于停工1個月。(2分)
4、K1=2個月 K2=1個月 (2分),可縮短到5個月(1分)圖(5分)。
{#page#}
案例(二)
背景資料 :
某辦公樓工程,建筑面積35000m2,地下二層,地上十五層,框架簡體結構,外裝修為單元式玻璃幕墻和局部干掛石材。場區自然地面標高為-2.00m,基礎底標高為-6.90m,地下水位標高-7.50m,基礎范圍內土質為粉質粘土層。在建筑物北側,距外墻軸線2.5m處有一自東向西管徑為600mm的供水管線,埋深1.80m。施工單位進場后,項目經理召集項目相關人員確定了基礎及結構施工期間的總體部署和主要施工方法:土方工程依據合同約定采用專業分包;底板施工前,在基坑外側將塔吊安裝調試完成;結構施工至地上八層時安裝雙籠外用電梯:模板拆至五層時安裝懸挑卸料平臺;考慮到場區將來回填的需要,主體結構外架采用懸挑式腳手架;樓板及柱模板采用木膠合板,支撐體系采用碗扣式腳手架:核心筒采用大鋼模板施工。會后相關部門開始了施工準備工作。
合同履行過程中,發生了如下事件:
事件一:施工單位根據工作的總體安排,首先將工程現場臨時用電安全專項方案報送監理工程師,得到了監理工程師的確認。隨后施工單位陸續上報了其他安全專項施工方案。
事件二:地下一層核心筒拆模后,發現其中一道墻體的底部有一孔洞(大小為0.30m×0.50m),監理工程師要求修補。
事件三:裝修期間,在地上十層,某管道安裝工獨自對焊工未焊完的管道接口進行施焊,結果引燃了正下方九層用于工程的幕墻保溫材料,引起火災。所幸正在進行幕墻作業的施工人員救火及時,無人員傷亡。
事件四:幕墻施工過程中,施工人員對單元式玻璃幕墻防火構造、變形縫及墻體轉角構造節點進行了隱蔽記錄,監理工程師提出了質疑。
問題 :
1.工程自開工至結構施工完成,施工單位應陸續上報哪些安全專項方案(至少 列出四項)?
2.事件二中,按步驟說明孔洞修補的做法。
3.指出事件三中的不妥之處。
4.事件四中,幕墻還有哪些部位需要做隱蔽記錄?
【答案】
1、安全專項施工方案:建筑幕墻安裝施工、塔吊、施工電梯、模板、腳手架每項1.5,都對5分
2、孔洞處理需要與設計單位共同研究制定補強方案,然后按批準后的方案進行處理(2分)。先將孔洞處的不密實的混凝土鑿掉,要鑿成斜形(外口向上) (1分),用清水沖刷干凈,并保持濕潤(1分),然后用高一等級的微膨脹豆石混凝土澆筑、搗實后(1分),認真養護。有時因孔洞大需支模板后才澆筑混凝土(1分)。
3、不應由管道安裝工獨立完成施焊工作(1分);焊接工人要持證上崗(1分);未辦理動火手續(1分);不應對作業環境未作了解前進行焊接(1分);隨意堆放易燃材料不對(1分)。
4、幕墻隱蔽工程驗收:預埋件、后置埋件、防雷裝置、幕墻四周、內表面與立體結構之間的封堵、隱框玻璃幕墻玻璃板塊的固定、單元式幕墻的封口節點每項(1分)
{#page#}
案例(三)
背景資料 :
沿海地區某高層辦公樓,建筑面積125000m2,地下三層,地上二十六層,現澆鋼筋混凝土結構,基坑開挖深度16.30m。建設單位與施工總承包單位簽訂了施工總承包合同。
合同履行過程中,發生了如下事件:
事件一:施工總承包單位將地下連續墻工程分包給某具有相應資質的專業公司,未報建設單位審批:依合同約定將裝飾裝修工程分別分包給具有相應資質的三家裝飾裝修公司。上述分包合同均由施工總承包單位與分包單位簽訂,且均在安全管理協議中約定分包工程安全事故責任全部由分包單位承擔。
事件二:施工總承包單位將深基坑支護設計委托給專業設計單位,專業設計單位根據地質勘察報告選擇了地下連續墻加內支撐支護結構形式。施工總承包單位編制了深基坑開挖專項施工方案,內容包括工程概況、編制依據、施工計劃、施工工藝技術、勞動力計劃。該方案經希賽網論證,補充了有關內容后,按程序通過了審批。
事件三:施工總承包單位為了提醒、警示施工現場人員時刻認識到所處環境的危險性,隨時保持清醒和警惕,在現場出入口和基坑邊沿設置了明顯的安全警示標志。
事件四:本工程二層多功能廳設計為鋁合金龍骨中密板材隔墻,下端為木踢腳。裝飾裝修公司在施工前編制了裝飾裝修施工方案,明確了板材組裝順序和節點處理措施。
問題 :
1.指出事件一中的不妥之處,分別說明理由。
2.除地質勘察報告外,基坑支護結構形式選型依據還有哪些?本工程深基坑開挖專項施工方案補充了哪些主要內容?
3.事件三中,施工現場還應在哪些位置設置安全警示標志(至少列出五項)?
4.事件四中,板材組裝應按什么順序進行?板材安裝節點應如何處理?
【答案】
1、地下連續墻分包為通過建設單位審批不妥,(1分)理由合同未約定的應通過建設單位審批(1分),違法分包;在管理協議規定由分包單位承擔責任不妥,理由應承擔連帶責任。協議違法(3分)
2、除地質報告外:施工圖、開挖深度、建筑物周邊環境、地下管線情況、道路交通情況;應補充:組織機構、安全措施、應急方案、規章制度每項(1分)
3、起重機械設備處、電梯口、樓梯口、出入口、出入通道口、腳手架等 每項(1分)
4、板材組裝順序為當有洞口時應以洞口處向兩側依次進行(1分),當無洞口時應從一端向另一端安裝(1分);板材安裝節點當有設計要求時按設計要求(1分),無設計要求時板縫處粘貼50-60mm寬纖維布帶(1分),陽角處粘貼200mm寬纖維布帶(1分)。
{#page#}
案例(四)
背景資料 :
某商業用房工程,建筑面積15000m2,地下一層,地上四層。施工單位與建設單位采用《建設工程施工合同(示范文本)》(GF一99—0201)簽訂了工程施工合同。 合同約定:工程工期自2009年2月1日至2009年12月31日;工程承包范圍為圖紙所示的全部土建、安裝工程。合同造價中含安全防護費、文明施工費120萬元。
合同履行過程中,發生了如下事件:
事件一:2009年5月12日,工程所在地區發生了7.5級強烈地震,造成施工現場部分圍墻倒塌,損失6萬元;地下一層填充墻部分損毀,損失10萬元;停工及修復共30天。施工單位就上述損失及工期延誤向建設單位提出了索賠。
事件二:用于基礎底板的鋼筋進場時,鋼材供應商提供了出廠檢驗報告和合格證,施工單位只進行了鋼筋規格、外觀檢查等現場質量驗證工作后,即準備用于工程。監理工程師下達了停工令。
事件三:截止到2009年8月15日,建設單位累計預付安全防護費、文明施工費共計50萬元。
事件四:工程竣工結算造價為5670萬元,其中工程款5510萬元,利息70萬元,建設單位違約金90萬元。工程竣工5個月后,建設單位仍沒有按合同約定支付剩余款項,欠款總額為1670萬元(含上述利息及建設單位違約金),隨后施工單位依法行使了工程款優先受償權。
事件五:工程竣工后,項目經理部按“制造成本法”核算了項目施工總成本,其構成如下:直接工程費4309.20萬元,措施費440.80萬元,規費11.02萬元,企業管理費332.17萬元(其中施工單位總部企業管理費為220.40萬元)。
問題 :
1.事件一中,施工單位的索賠是否成立?分別說明理由。
2.事件二中,施工單位對進場的鋼筋還應做哪些現場質量驗證工作?
3.事件三中,建設單位預付的安全防護費、文明施工費的金額是否合理?說明理由。
4.事件四中,施工單位行使工程款優先受償權可獲得多少工程款?行使工程款優先受償權的起止時間是如何規定的?
5.按“制造成本法”列式計算項目施工直接成本、間接成本和項目施工總成本。
【答案】
1、工期索賠成立,按不可抗力執行;圍墻費用索賠不成立,不屬于工程本身;地下填充墻費用索賠成立,屬工程本身。3項即可每項(2分)
2、有由批準的具有資質證明生產廠家(2分);進入現場的每一批60t鋼材必須封樣送檢復試(2分)應 標示品種規格數量檢驗狀態生產部位,碼齊擺放(2分)
3、不合理(2分)。設單位與施工單位在施工合同中對安全防護、文明施工措施費用預付、支付計劃未作約定或約定不明的,合同工期在一年以內的,建設單位預付安全防護、文明施工措施費用不得低于該費用總額的50%(2分);合同工期在一年以上的(含一年),預付安全防護、文明施工措施費用不得低于該費用總額的30%,其余費用應當按照施工進度支付(2分)。-3
4、 1580萬元,不包括違約部分(2分)。優先受償權期限為6個月(2分),自建設工程竣工之日或建設工程合同約定的竣工之日起計算(2分)。
5、施工直接成本=直接工程費+措施費=4309.2+440.8=4750萬元;(2分)施工間接成本=規費+企業管理費=11.02+(332.17-220.4)=122.79萬元;(2分)項目施工總成本=直接成本+間接成本=4750+122.79=4872.79萬元。(2分)
{#page#}
案例(五)
背景資料 :
某辦公樓工程,建筑面積153000m2,地下二層,地上三十層,建筑物總高度136.6m,地下鋼筋混凝土結構,地上型鋼混凝土組合結構,基礎埋深8.4m。施工單位項目經理根據《建設工程項目管理規范》(GB/T 50326--2006),主持編制了項目管理實施規劃,包括工程概況、組織方案、技術方案、風險管理計劃、項目溝通管理計劃、項目收尾管理計劃、項目現場平面布置圖、項目目標控制措施、技術經濟指標等十六項內容。風險管理計劃中將基坑土方開挖施工作為風險管理的重點之一,評估其施工時發生基坑坍塌的概率為中等,且風險發生后將造成重大損失。為此,項目經理部組織建立了風險管理體系,指派項目技術部門主管風險管理工作。項目經理指派項目技術負責人組織編制了項目溝通計劃。該計劃中明確項目經理部與內部作業層之間依據《項目管理目標責任書》進行溝通和協調;外部溝通可采用電話、傳真、協商會等方式進行;當出現矛盾和沖突時,應借助政府、社會、中介機構等各種力量來解決問題。工程進入地上結構施工階段,現場晚上11點后不再進行土建作業,但安排了鋼結構焊接連續作業。由于受城市交通管制,運輸材料、構件的車輛均在凌晨3~6點之間進出現場。項目經理部未辦理夜間施工許可證。附近居民投訴:夜間噪聲過大,光線刺眼,且不知曉當日施工安排。項目經理派安全員接待了來訪人員。之后,項目經理部向政府環境保護部門進行了申報登記,并委托某專業公司進行了噪聲檢測。項目收尾階段,項目經理部依據項目收尾管理計劃,開展了各項工作。
問題 :
1.項目管理實施規劃還應包括哪些內容(至少列出三項)?
2.評估基坑土方開挖施工的風險等級。風險管理體系應配合項目經理部哪兩個管理體系進行組織建立?指出風險管理計劃中項目經理部工作的不妥之處。
3.指出上述項目溝通管理計劃中的不妥之處,說明正確做法。外部溝通還有哪些常見方式?
4.根據《建筑施工場界噪聲限值》(GB 12523—90),結構施工階段晝間和夜間的場界噪聲限值分別是多少?針對本工程夜間施工擾民事件,寫出項目經理部應采取的正確做法。
5.項目收尾管理主要包括哪些方面的管理工作?
【答案】
1、施工部署、施工進度計劃、資源供應計劃 信息管理 等 每項(2分)
2、風險等級為4級;(2分)合同管理體系(1分),成本管理體系(1分);不妥之處:不應只派項目技術部門主管風險管理工作應明確管理層人員的工作職責。(2分)
3、不妥之處:內部應按項目部組織分工進行溝通和協調(2分);,當出現矛盾時以協調為主(2分);,必要時借助政府等來解決外部;可采用文書、網絡等方式溝通至少兩項(2分)。
4、噪聲限值:夜間55分貝,晝間70分貝(2分)。辦理夜間施工許可證(1分);向受影響居民發出通告(1分);委托專業公司進行噪聲檢測,盡量控制施工噪聲(1分);禁止夜間進行產生環境噪聲污染的建筑施工作業,但搶修、搶險作業和因生產工藝要求或者特殊需要必須連續作業而進行夜間建筑施工作業除外(1分)。
5、施工資料整理歸檔(2分;做好結算工作辦理移交等相關手續(2分,做好工程結算準備和工程結算工作(2分。
一級建造師備考資料免費領取
去領取
專注在線職業教育25年